精英家教网 > 初中数学 > 题目详情

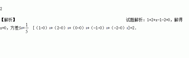
数据1,2,x,-1,-2的平均数是0,则这组数据的方差是____.

练习册系列答案
相关习题

科目:初中数学 来源:陕西省延安市大学区校际联盟2016-2017学年八年级下学期期中考试数学试卷(B) 题型:选择题

如图,过矩形ABCD的四个顶点作对角线AC、BD的平行线,分别相交于E、F、G、H四点,则四边形EFGH为( ).

A.平行四边形 B.矩形 C.菱形 D.正方形

查看答案和解析>>

科目:初中数学 来源:辽宁省大石桥市水源镇九年一贯制学校2016-2017学年七年级下学期期中考试数学试卷 题型:填空题

如图,已知AB∥CD,∠α=___.

查看答案和解析>>

科目:初中数学 来源:2017届湖北省襄阳市南漳县中考适应性考试数学试卷 题型:解答题

已知二次函数y=-x2+ax+b的图象与y轴交于点A(0,-2),与x轴交于点B(1,0)和点C,D(m,0)(m>2)是x轴上一点.

(1)求二次函数的解析式;

(2)点E是第四象限内的一点,若以点D为直角顶点的Rt△CDE与以A,O,B为顶点的三角形相似,求点E坐标(用含m的代数式表示);

(3)在(2)的条件下,抛物线上是否存在一点F,使得四边形BCEF为平行四边形?若存在,请求出点F的坐标;若不存在,请说明理由.

查看答案和解析>>

科目:初中数学 来源:2017届湖北省襄阳市南漳县中考适应性考试数学试卷 题型:解答题

为弘扬中华优秀传统文化,今年2月20日举行了襄阳市首届中小学生经典诵读大赛决赛. 某中学为了选拔优秀学生参加,广泛开展校级“经典诵读”比赛活动,比赛成绩评定为A,B,C,D,E五个等级,该校七(1)班全体学生参加了学校的比赛,并将比赛结果绘制成如下两幅不完整的统计图.请根据图中信息,解答下列问题:

(1)该校七(1)班共有   名学生;扇形统计图中C等级所对应扇形的圆心角等于  度;

(2)补全条形统计图;

(3)若A等级的4名学生中有2名男生2名女生,现从中任意选取2名参加学校培训班,请用列表法或画树状图的方法,求出恰好选到1名男生和1名女生的概率.

查看答案和解析>>

科目:初中数学 来源:2017届湖北省襄阳市南漳县中考适应性考试数学试卷 题型:单选题

若关于x的一元二次方程(k-1)x2+4x+1=0有两个实数根,则k的取值范围是( )

A. k<5 B. k≤5且k≠1 C. k<5且k≠1 D. k>5

查看答案和解析>>

科目:初中数学 来源:2017届湖北省襄阳市南漳县中考适应性考试数学试卷 题型:单选题

的相反数是( )

A. 2 B. -2 C. D. -

查看答案和解析>>

科目:初中数学 来源:2016-2017学年甘肃省八年级下学期期中考试数学试卷(解析版) 题型:单选题

如图,是一段楼梯,高BC是1.5m,斜边AC是2.5m,如果在楼梯上铺地毯,那么至少需要地毯(  )

A. 2.5m B. 3m C. 3.5m D. 4m

查看答案和解析>>

科目:初中数学 来源:黑龙江省军川农场学校2016-2017学年八年级下学期期中考试数学试卷 题型:解答题

如图,三角形ABC的三个顶点坐标为A(-3,4),B(-5,1),C(-2,2).试画出三角形ABC向右平移6个单位长度,向下平移5个单位长度之后的图形三角形A1B1C1,写出 A1,B1,C1,坐标和平移后P点坐标。

查看答案和解析>>

同步练习册答案