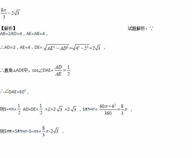
如图,在矩形ABCD中,
,以点A为圆心,AB为半径的圆弧交CD于点E,交AD的延长线于点F,则图中阴影部分的面积为___________.(结果保留
)
![]()
科目:初中数学 来源:福建省厦门市2016-2017学年八年级下学期期中考试数学试卷 题型:填空题
如图,菱形
中,对角线
、
相交于点
,AC=10,BD=12,则这个菱形面积为__________.
![]()
查看答案和解析>>
科目:初中数学 来源:安徽省蚌埠市2016-2017学年八年级下学期期中考试数学试卷 题型:解答题
解方程
(1)(x-2)(x+3)=-4 (公式法) (2)2x2+4x+1=25(配方法)
(3)3(x-5)2=x-5 (4)(x+3)2=(3x-5)2.
查看答案和解析>>
科目:初中数学 来源:【全国校级联考】四川省渠县九校2017届九年级下学期第二次联合模拟数学试卷 题型:解答题
如图1,在平面直角坐标系
中,抛物线
与
轴交于
两点(点
在点
的左侧),与
轴交于点
,点
的坐标为
,将直线
沿
轴向上平移4个单位长度后恰好经过
两点。
(1)求直线
及抛物线的解析式;
(2)将直线
沿
轴向上平移5个单位长度后与抛物线交于
两点,若点
是抛物线位于直线
下方的一个动点,连接
,交直线
于点
,连接
和
。设
的面积为
,当S取得最大值时,求出此时点
的坐标及
的最大值;
(3)如图2,记(2)问中直线
与
轴交于
点,现有一点
从
点出发,先沿
轴到达
点,再沿
到达
点,已知
点在
轴上运动的速度是每秒2个单位长度,它在直线
上运动速度是1个单位长度。现要使
点按照上述要求到达
点所用的时间最短,请简述确定
点位置的过程,求出点
的坐标,不要求证明。
![]()
查看答案和解析>>
科目:初中数学 来源:【全国校级联考】四川省渠县九校2017届九年级下学期第二次联合模拟数学试卷 题型:解答题
化简求值已知A=
﹣![]()
(1)化简A;
(2)当x满足不等式组
,且x为整数时,求A
查看答案和解析>>
科目:初中数学 来源:【全国校级联考】四川省渠县九校2017届九年级下学期第二次联合模拟数学试卷 题型:单选题
如图,⊙O的直径AB垂直于弦CD,垂足是E,∠A=22.5°,OC=4,CD的长为( ).
![]()
A.
B. 4 C.
D. 8
查看答案和解析>>
科目:初中数学 来源:【全国校级联考】四川省渠县九校2017届九年级下学期第二次联合模拟数学试卷 题型:单选题
在
,
,0,
这四个数中,属于负分数的是( ).
A.
B.
C. 0 D. ![]()
查看答案和解析>>
科目:初中数学 来源:【全国区级联考】陕西省宝鸡市渭滨区2017届九年级4月质量检测试卷(一)数学试卷 题型:单选题
如图,四边形ABCD内接于⊙O,若四边形ABCO是平行四边形,则∠ADC的大小为( )
![]()
A. 45° B. 50° C. 60° D. 75°
查看答案和解析>>
科目:初中数学 来源:【全国区级联考】江苏省盐城市大丰区2017届九年级第二次质量检测(二模)数学试卷 题型:解答题
(10分)如图,我国渔政船在钓鱼岛海域C处测得钓鱼岛A在渔政船的北偏西30。的方向上,随后渔政船以80海里/小时的速度向北偏东30°的方向航行,半小时后到达B处,此时又测得钓鱼岛A在渔政船的北偏西60°的方向上,求此时渔政船距钓鱼岛A的距离姓B.(结果保留小数点后一位,其中
1.732)
![]()
查看答案和解析>>
湖北省互联网违法和不良信息举报平台 | 网上有害信息举报专区 | 电信诈骗举报专区 | 涉历史虚无主义有害信息举报专区 | 涉企侵权举报专区
违法和不良信息举报电话:027-86699610 举报邮箱:58377363@163.com