精英家教网 > 初中数学 > 题目详情

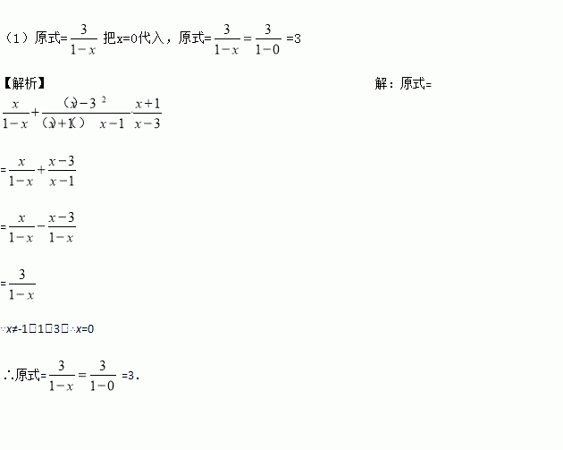
先化简,再求值: ,其中x取-1、0、1、3中的一个值.

练习册系列答案
相关习题

科目:初中数学 来源:2017届河北省中考模拟数学试卷(五)(解析版) 题型:单选题

在如图的2016年6月份的月历表中,任意框出表中竖列上三个相邻的数,这三个数的和不可能是(  )

A. 27 B. 51 C. 69 D. 72

查看答案和解析>>

科目:初中数学 来源:2016-2017学年江苏省扬州市八年级下学期期中考试数学试卷(解析版) 题型:解答题

已知成反比例,成正比例,并且当=-1时,=-15,当=2时,=;求之间的函数关系式.

查看答案和解析>>

科目:初中数学 来源:2016-2017学年江苏省扬州市八年级下学期期中考试数学试卷(解析版) 题型:选择题

若四边形的两条对角线相等,则顺次连接该四边形各边中点所得的四边形是( )

A. 梯形 B. 矩形 C. 菱形 D. 正方形

查看答案和解析>>

科目:初中数学 来源:2017届吉林省长春市九年级毕业一诊数学试卷(解析版) 题型:解答题

如图,将矩形ABCD折叠,使C点与A点重合,折痕为EF.

(1)判断四边形AFCE的形状,并说明理由;

(2)若AB=4,BC=8,求折痕EF的长.

查看答案和解析>>

科目:初中数学 来源:2017届吉林省长春市九年级毕业一诊数学试卷(解析版) 题型:填空题

计算:=_______.

查看答案和解析>>

科目:初中数学 来源:2017届吉林省长春市九年级毕业一诊数学试卷(解析版) 题型:单选题

下列各式计算正确的是( )

A. a+2a2=3a3 B. (a+b)2=a2+ab+b2

C. 2(a﹣b)=2a﹣2b D. (2ab)2÷(ab)=2ab(ab≠0)

查看答案和解析>>

科目:初中数学 来源:2017届吉林省长春市毕业班摸底考试(一模)数学试卷(解析版) 题型:填空题

如图,四边形ABCD内接于⊙O.若∠ADC=130°,则∠AOC的大小为___度.

查看答案和解析>>

科目:初中数学 来源:2016-2017学年江苏省江阴市澄西片八年级下学期期中考试数学试卷(解析版) 题型:解答题

如图,四边形OABC是矩形,点A、C在坐标轴上,B点坐标(-2,4)△ODE是△OCB绕点O顺时针旋转90°得到的,点D在x轴上,直线BD交y轴于点F,交OE于点H.

(1) 求直线BD的解析式;

(2) 求△BCF的面积;

(3) 点M在坐标轴上,平面内是否存在点N,使以点D、F、M、N为顶点的四边形是矩形?若存在,请求出点N的坐标;若不存在,请说明理由.

查看答案和解析>>

同步练习册答案