精英家教网 > 初中数学 > 题目详情

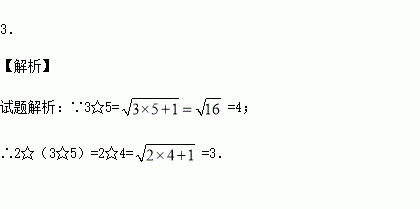
定义新运算“☆”:a☆b=,则2☆(3☆5)= .

练习册系列答案
相关习题

科目:初中数学 来源:2015-2016学年广东省深圳市七年级上学期期中数学试卷(解析版) 题型:计算题

有理数混合运算

(1)-32-[8÷(-2)3-1]+3÷2×

(2)(-2)3-6÷(-)-36×(--+).

查看答案和解析>>

科目:初中数学 来源:2015-2016学年广东省深圳市七年级上学期期中考试数学试卷(解析版) 题型:解答题

互为相反数,互为倒数,的绝对值等于2,计算的值。

查看答案和解析>>

科目:初中数学 来源:2015-2016学年广东省深圳市七年级上学期期中考试数学试卷(解析版) 题型:选择题

在数轴上距离原点两个单位长度的点所表示的数是 ( )

A、 -2 B、 2 C、-2或2 D、不能确定

查看答案和解析>>

科目:初中数学 来源:2015-2016学年安徽省宿州市泗县八年级上学期期中数学试卷(解析版) 题型:解答题

已知一次函数y=kx-3的图象与正比例函数y=的图象相交于点(-2,a).

(1)求出一次函数解析式.

(2)点A(x1,y1),B(x2,y2)都在一次函数图象上,若x1<x2,试比较y1与y2的大小.

查看答案和解析>>

科目:初中数学 来源:2015-2016学年安徽省宿州市泗县八年级上学期期中数学试卷(解析版) 题型:选择题

在如图所示的数轴上,点B与点C关于点A对称,A、B两点对应的实数分别是和-1,则点C所对应的实数是( )

A.1+ B.2+ C.2-1 D.2+1

查看答案和解析>>

科目:初中数学 来源:2015-2016学年安徽省宿州市泗县八年级上学期期中数学试卷(解析版) 题型:选择题

下列四组数中,能构成直角三角形的边长的一组是( )

A.1,2,3 B. C.1,2, D.6,8,14

查看答案和解析>>

科目:初中数学 来源:2016届山东省实验学校九年级上学期期中模拟数学试卷(解析版) 题型:选择题

如图是二次函数y=ax2+bx+c(a≠0)图象的一部分,对称轴是直线x=﹣2.关于下列结论:

①ab<0;

②b2﹣4ac>0;

③9a﹣3b+c<0;

④b﹣4a=0;

⑤方程ax2+bx=0的两个根为x1=0,x2=﹣4,

其中正确的结论有( ).

A.①③④ B.②④⑤ C.①②⑤ D.②③⑤

查看答案和解析>>

科目:初中数学 来源:2016届江苏省实验学校九年级上学期期中考试数学试卷(解析版) 题型:解答题

某养殖户每年的养殖成本包括固定成本和可变成本,其中固定成本每年均为3万元,可变成本逐年增长,已知该养殖户第1年的可变成本为2.4万元,设可变成本平均每年增长的百分率为x.

(1)用含x的代数式表示第3年的可变成本为 万元.

(2)如果该养殖户第3年的养殖成本为6.456万元,求可变成本平均每年增长的百分率?

查看答案和解析>>

同步练习册答案