精英家教网 > 初中数学 > 题目详情

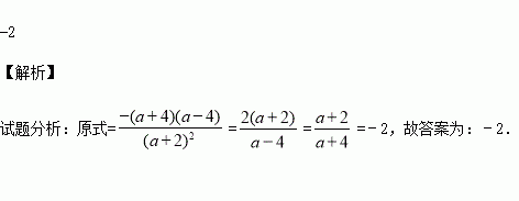
÷=

练习册系列答案
相关习题

科目:初中数学 来源:2016届江西省吉安市遂川县中考一模数学试卷(解析版) 题型:填空题

今年4月份中国汽车工业协会公布的统计数据显示,第一季度全国乘用车共销售566.90万辆,将566.90万用科学记数法可表示为

查看答案和解析>>

科目:初中数学 来源:2016届内蒙古包头市东河区中考一模数学试卷(解析版) 题型:填空题

如图,菱形OABC的顶点O是原点,顶点B在y轴上,菱形的两条对角线的长分别是6和4,反比例函数y=(x<0)的图象经过点C,则k的值为

查看答案和解析>>

科目:初中数学 来源:2016届内蒙古包头市昆区中考一模数学试卷(解析版) 题型:解答题

在正方形ABCD中,动点E,F分别从D,C两点同时出发,以相同的速度在直线DC,CB上移动.

(1)如图①,当点E自D向C,点F自C向B移动时,连接AE和DF交于点P,请你写出AE与DF的位置关系,并说明理由;

(2)如图②,当E,F分别移动到边DC,CB的延长线上时,连接AE和DF,(1)中的结论还成立吗?(请你直接回答“是”或“否”,不须证明)

(3)如图③,当E,F分别在边CD,BC的延长线上移动时,连接AE,DF,(1)中的结论还成立吗?请说明理由;

(4)如图④,当E,F分别在边DC,CB上移动时,连接AE和DF交于点P,由于点E,F的移动,使得点P也随之运动,请你画出点P运动路径的草图.若AD=2,试求出线段CP的最小值.

查看答案和解析>>

科目:初中数学 来源:2016届内蒙古包头市昆区中考一模数学试卷(解析版) 题型:填空题

如图①,在梯形ABCD中,AD∥BC,∠A=60°,动点P从A点出发,以1cm/s的速度沿着A→B→C→D的方向不停移动,直到点P到达点D后才停止.已知△PAD的面积S(单位:cm2)与点P移动的时间(单位:s)的函数如图②所示,则点P从开始移动到停止移动一共用了 秒(结果保留根号).

查看答案和解析>>

科目:初中数学 来源:2016届内蒙古包头市昆区中考一模数学试卷(解析版) 题型:选择题

不等式组的解集在数轴上表示正确的是( )

A.

B.

C.

D.

查看答案和解析>>

科目:初中数学 来源:2016届内蒙古包头市昆区中考一模数学试卷(解析版) 题型:选择题

27的立方根是( )

A.3 B.﹣3 C.9 D.﹣9

查看答案和解析>>

科目:初中数学 来源:2016届江西中等学校招生考试模拟数学试卷(二)(解析版) 题型:填空题

如果m,n互为相反数,那么|m+n﹣2016|=___________.

查看答案和解析>>

科目:初中数学 来源:2016届江西省中考模拟(八) 数学试卷(解析版) 题型:填空题

如图,抛物线y=x2﹣2x+k(k<0)与x轴相交于A(x1,0)、B(x2,0)两点,其中x1<0<x2,当x=x1+2时,y 0(填“>”“=”或“<”号).

查看答案和解析>>

同步练习册答案