精英家教网 > 初中数学 > 题目详情

如图,直线y=k1x+b(k1≠0)与双曲线y= (k2≠0)相交于A(1,m)、B(-2,-1)两点,

(1)求直线和双曲线的解析式;

(2)若A1(x1,y1),A2(x2,y2),A3(x3,y3)为双曲线上的三点,且x1<x2<0<x3,请直接写出y1、y2、y3的大小关系式.

练习册系列答案
相关习题

科目:初中数学 来源:2017届辽宁省大石桥市水源镇九年一贯制学校九年级下学期期中考试数学试卷(解析版) 题型:单选题

我市某一周的最大风力情况如表所示:则这周最大风力的众数与中位数分别是(  )

A. 7,5 B. 5,5 C. 5,1.75 D. 5,4

查看答案和解析>>

科目:初中数学 来源:江苏省南通市2015-2016学年七年级下学期期中考试数学试卷 题型:解答题

解不等式,并把它的解集在数轴上表示出来.

查看答案和解析>>

科目:初中数学 来源:江苏省南通市2015-2016学年七年级下学期期中考试数学试卷 题型:单选题

下列各组数中①; ②;③;④是方程的解的有( )

A. 1个 B. 2个 C. 3个 D. 4个

查看答案和解析>>

科目:初中数学 来源:【全国市级联考】江苏省东台市第六教育联盟2016-2017学年八年级下学期期中考试数学试卷 题型:解答题

已知y=y1-y2,y1与x2成正比例,y2与x+3成反比例,当x=0时,y=2;当x=2时,y=0,求y与x的函数关系式,并指出自变量的取值范围.

查看答案和解析>>

科目:初中数学 来源:【全国市级联考】江苏省东台市第六教育联盟2016-2017学年八年级下学期期中考试数学试卷 题型:填空题

若反比例函数的图像经过点,则的值为_______

查看答案和解析>>

科目:初中数学 来源:【全国市级联考】江苏省东台市第六教育联盟2016-2017学年八年级下学期期中考试数学试卷 题型:单选题

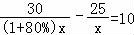
小明乘出租车去体育场,有两条路线可供选择:路线一的全程是25千米,但交通比较拥堵,路线二的全程是30千米,平均车速比走路线一时的平均车速能提高80%,因此能比走路线一少用10分钟到达.若设走路线一时的平均速度为x千米/小时,根据题意,得( )

A. B.

C. D.

查看答案和解析>>

科目:初中数学 来源:【全国区级联考】湖北省襄阳市襄州区2017年中考适应性考试数学试卷 题型:填空题

如图,平行四边形ABCD的对角线AC,BD相交于点O,请你添加一个适当的条件________使其成为菱形(只填一个即可). 

查看答案和解析>>

科目:初中数学 来源:湖北省黄石大冶市还地桥镇2017届九年级5月中考模拟数学试卷 题型:解答题

如图,已知双曲线经过点D(6,1),点C是双曲线第三象限分支上的动点,过C作CA⊥x轴,过D作DB⊥y轴,垂足分别为A,B,连接AB,BC.

(1)求k的值;

(2)若△BCD的面积为12,求直线CD的解析式;

(3)判断AB与CD的位置关系,并说明理由.

查看答案和解析>>

同步练习册答案