精英家教网 > 初中数学 > 题目详情

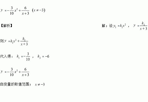
已知y=y1-y2,y1与x2成正比例,y2与x+3成反比例,当x=0时,y=2;当x=2时,y=0,求y与x的函数关系式,并指出自变量的取值范围.

练习册系列答案
相关习题

科目:初中数学 来源:2017届辽宁省大石桥市水源镇九年一贯制学校九年级下学期期中考试数学试卷(解析版) 题型:单选题

如图,在矩形ABCD中,点E是AD的中点,∠EBC的平分线交CD于点F,将△DEF沿EF折叠,点D恰好落在BE上M点处,延长BC、EF交于点N.有下列四个结论:①DF=CF;②BF⊥EN;③△BEN是等边三角形;④S△BEF=3S△DEF.其中,将正确结论的序号全部选对的是( )

A. ①②③

B. ①②④

C. ②③④

D. ①②③④

查看答案和解析>>

科目:初中数学 来源:江苏省南通市2015-2016学年七年级下学期期中考试数学试卷 题型:解答题

如图在3×3的方阵图中,填写了一些数和代数式 (其中每个代数式都表示一个数),使得每行的3个数,每列的3个数,斜对角的3个数之和均相等

(1)求x,y的值

(2)重新作图完成此方阵图

查看答案和解析>>

科目:初中数学 来源:江苏省南通市2015-2016学年七年级下学期期中考试数学试卷 题型:单选题

无论x取何值时,点P(x+1,x-2)不可能在( )

A. 第一象限 B. 第二象限 C. 第三象限 D. 第四象限

查看答案和解析>>

科目:初中数学 来源:江苏省南通市2015-2016学年七年级下学期期中考试数学试卷 题型:单选题

下列方程组中,是二元一次方程组的是( )

A. B. C. D.

查看答案和解析>>

科目:初中数学 来源:【全国市级联考】江苏省东台市第六教育联盟2016-2017学年八年级下学期期中考试数学试卷 题型:解答题

如图,直线y=k1x+b(k1≠0)与双曲线y= (k2≠0)相交于A(1,m)、B(-2,-1)两点,

(1)求直线和双曲线的解析式;

(2)若A1(x1,y1),A2(x2,y2),A3(x3,y3)为双曲线上的三点,且x1<x2<0<x3,请直接写出y1、y2、y3的大小关系式.

查看答案和解析>>

科目:初中数学 来源:【全国市级联考】江苏省东台市第六教育联盟2016-2017学年八年级下学期期中考试数学试卷 题型:填空题

矩形的两条对角线的夹角为60°,较短的边长为2cm,则较长的边长为______cm.

查看答案和解析>>

科目:初中数学 来源:【全国区级联考】湖北省襄阳市襄州区2017年中考适应性考试数学试卷 题型:解答题

如图,一次函数(k<0)与反比例函数的图象相交于A、B两点,一次函数的图象与y轴相交于点C,已知点A(4,1),B(n,2))

(1)求反比例函数和一次函数的解析式;

(2)写出 >时, 的取值范围;

查看答案和解析>>

科目:初中数学 来源:江苏省宜兴实验学校2016-2017学年初二下学期期中考试数学试卷 题型:单选题

下列约分正确的是(  )

A. B. C. D.

查看答案和解析>>

同步练习册答案