精英家教网 > 初中数学 > 题目详情

已知如图,二次函数y=ax2+2ax-3a(a≠0)图象的顶点为H,与x轴交于A、B两点(B在A点右侧),点H、B关于直线l:y=对称.

(1)求A、B两点坐标,并证明点A在直线l上;

(2)求二次函数解析式;

(3)过点B作直线BK∥AH交直线l于K点,M、N分别为直线AH和直线l上的两个动点,连接HN、NM、MK,求HN+NM+MK和的最小值.

答案:
解析:

  解:(1)依题意,得

  解得

  ∵点在点右侧

  ∴点坐标为点坐标为  (2分)

  ∵直线

  当时,

  ∴点在直线上(3分)

  (2)∵点关于过点的直线对称

  ∴

  过顶点点则

  ∴顶点(5分)

  把 代入二次函数解析式,解得

  ∴二次函数解析式为(7分)

  (3)直线的解析式为

  直线的解析式为

  由 解得

  即,则

  ∵点关于直线对称

  ∴的最小值是,过轴于D点.

  过点作直线的对称点,连接,交直线

  则

  ∴的最小值是,即的长

  是的最小值

  ∵

  ∴

  在Rt△BKQ,由勾股定理得(10分)

  ∴的最小值为(不同解法参照给分)


练习册系列答案
相关习题

科目:初中数学 来源: 题型:

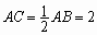
16、已知如图,二次函数y=ax2+bx+c的图象过A、B、C三点
(1)观察图象写出A、B、C三点的坐标;
(2)求出二次函数的解析式.

查看答案和解析>>

科目:初中数学 来源: 题型:

已知如图,二次函数y=ax2+2ax-3a(a≠0)图象的顶点为H,与x轴交于A、B两点(B在A点右侧),点H、B关于直线l:y=
3
3
x+
3
对称.
(1)求A、B两点坐标,并证明点A在直线l上;
(2)求二次函数解析式;
(3)设点s是三角形ABH上的一动点,从点A沿着AHB方向以每秒1个单位长度移动,运动时间为t秒,到达点B时停止运动.当t为何值时,以点s为圆心的圆与两坐标轴都相切.
(4)过点B作直线BK∥AH交直线l于K点,M、N分别为直线AH和直线l上的两个动点,连接HN、NM、MK,求HN+NM+MK和的最小值.

查看答案和解析>>

科目:初中数学 来源: 题型:解答题

已知如图,二次函数y=ax2+2ax-3a(a≠0)图象的顶点为H,与x轴交于A、B两点(B在A点右侧),点H、B关于直线l:数学公式对称.
(1)求A、B两点坐标,并证明点A在直线l上;
(2)求二次函数解析式;
(3)设点s是三角形ABH上的一动点,从点A沿着AHB方向以每秒1个单位长度移动,运动时间为t秒,到达点B时停止运动.当t为何值时,以点s为圆心的圆与两坐标轴都相切.
(4)过点B作直线BK∥AH交直线l于K点,M、N分别为直线AH和直线l上的两个动点,连接HN、NM、MK,求HN+NM+MK和的最小值.

查看答案和解析>>

科目:初中数学 来源: 题型:

已知如图,二次函数y="ax2" +bx+c的图像过A、B、C三点

观察图像写出A、B、C三点的坐标
求出二次函数的解析式

查看答案和解析>>

科目:初中数学 来源:2010-2011学年北京市海淀区初三一模数学试题 题型:解答题

已知如图,二次函数y=ax2 +bx+c的图像过A、B、C三点

观察图像写出A、B、C三点的坐标

求出二次函数的解析式

 

 

查看答案和解析>>

同步练习册答案