精英家教网 > 初中数学 > 题目详情

如图,一次函数y=kx+b的图象经过第一、二、三象限,且与反比例函数图象相交于A,B两点,与y轴交于点C,与x轴交于点D,.且点B横坐标是点B纵坐标的2倍.

(1)求反比例函数的解析式;

(2)设点A横坐标为m,△ABO面积为S,求S与m的函数关系式,并求出自变量的取值范围.

答案:
解析:

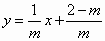
  (1)设点B坐标为(2t,t),由题意得

  ,解得t=-1.

  故反比例函数的解析式是

  (2)由一次函数经过

  ,解得,所以函数解析式为

  故点D坐标为(m-2,0),则

  因为所以有,解得

  故


练习册系列答案
相关习题

科目:初中数学 来源: 题型:

如图,一次函数y1ax+2与反比例函数y2的图象交于点A(4,m)和B(-8,-2),与y轴交于点C,与x轴交于点D

(1)求ak的值;

(2)过点AAEx轴于点E,若P为反比例函数图象的位于第一象限部分上的一点,且直线OP分△ADE所得的两部分面积之比为2∶7.请求出所有符合条件的点P的坐标;

(3)在(2)的条件下,请在x轴上找一点Q,使得△PQC的周长最小,并求出点Q的坐标.

 

查看答案和解析>>

科目:初中数学 来源: 题型:

(11·柳州)(本题满分6分).

     如图,一次函数y=-4x-4的图象与x轴、y轴分别交于AC

(1)求抛物线的函数表达式;

(2)设抛物线的顶点为D,求四边形ABDC的面积;

(3)作直线MN平行于x轴,分别交线段ACBC于点MN.问在x轴上是否存在点P,使得△PMN是等腰直角三角形?如果存在,求出所有满足条件的P点的坐标;如果不存在,请说明理由.

 

查看答案和解析>>

科目:初中数学 来源:2012届湖北省随州市四校中考模拟联考数学卷(带解析) 题型:填空题

如图,一次函数y=ax+b的图象与x轴、y轴交于A、B两点,与反比例函数y=的图象相交于C、D两点,分别过C、D两点作y轴、x轴的垂线,垂足为E、F,连结CF、DE,有下列四个结论:①△CEF与△DEF的面积相等;②△AOB∽△FOE;③AC=BD;④△DCE≌△CDF,其中正确的结论是______(把你认为正确结论的序号填上。)

查看答案和解析>>

科目:初中数学 来源:2013届浙江省兰溪市梅江初中九年级上学期期中考试数学试卷(带解析) 题型:解答题

(本题6分)如图,一次函数y=ax+b的图像与反比例函数的图像交于M、N两点。

求:(1)反比例函数与一次函数的解析式。
(2)根据图像写出反比例函数的值不小于一次函数的值的x的取值范围。

查看答案和解析>>

科目:初中数学 来源:2011-2012学年山东济南市区中考二模数学试卷(解析版) 题型:解答题

如图,一次函数y=kx+b与反比例函数y=的图象交于A(2,3),B(-3,n)两点.

 

1.求一次函数与反比例函数的解析式;

2.根据所给条件,请直接写出不等式kx+b>的解集

3.过点B作BC⊥x轴,垂足为C,求S△ABC

 

查看答案和解析>>

同步练习册答案