精英家教网 > 初中数学 > 题目详情

某工厂要招聘A、B两个工种的工人150人,A、B两个工种的工人的月工资分别为1500元和3000元。现要求B工种的人数不少于A工种人数的2 倍,那么招聘A工种工人多少人时,可使每月所付的工资总额最少?

练习册系列答案
相关习题

科目:初中数学 来源:2017届河南省周口市招第二次模拟考试数学试卷(解析版) 题型:解答题

如图所示,某教学活动小组选定测量小山上方某信号塔PQ的高度,他们在A处测得信号塔顶端P的仰角为45°,信号塔低端Q的仰角为31°,沿水平地面向前走100米到处,测得信号塔顶端P的仰角为68°.求信号塔PQ的高度.(结果精确到0.1米.参考数据:sin68°≈ 0.93,cos68° ≈ 0.37,tan68° ≈ 2.48,tan31° ≈ 0.60,sin31° ≈ 0.52,cos31°≈0.86)

查看答案和解析>>

科目:初中数学 来源:[首发]2016-2017学年江苏省南通市七年级下学期期中考试数学试卷(解析版) 题型:单选题

下列实数中是无理数的是

A. B. C. 0.12 D.

查看答案和解析>>

科目:初中数学 来源:2017届辽宁省盘锦市九年级下学期期初考试数学试卷(解析版) 题型:选择题

(2013•临沂)如图,正方形ABCD中,AB=8cm,对角线AC,BD相交于点O,点E,F分别从B,C两点同时出发,以1cm/s的速度沿BC,CD运动,到点C,D时停止运动,设运动时间为t(s),△OEF的面积为s(cm2),则s(cm2)与t(s)的函数关系可用图象表示为( )

A. B.

C. D.

查看答案和解析>>

科目:初中数学 来源:2017届辽宁省盘锦市九年级下学期期初考试数学试卷(解析版) 题型:单选题

据有关资料,当前我国的道路交通安全形势十分严峻,去年我国交通事故的死亡人数约为10.4万人,居世界第一,这个数用科学记数法表示是(  )

A. 1.04×104 B. 1.04×105 C. 1.04×106 D. 10.4×104

查看答案和解析>>

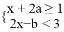
科目:初中数学 来源:[首发]2016-2017学年山东省八年级下学期期中考试数学试卷(解析版) 题型:填空题

知不等式组的解集如图所示,则a-b的值为_____________。

查看答案和解析>>

科目:初中数学 来源:[首发]2016-2017学年山东省八年级下学期期中考试数学试卷(解析版) 题型:选择题

观察下列等式:31=3, 32=9, 33=27, 34=81, 35=243, 36=729, 37=2187…

解答下列问题:3+32+33+34…+32013的末位数字( )

A.0 B.1 C.3 D.7

查看答案和解析>>

科目:初中数学 来源:2017届甘肃省九年级下学期期中考试数学试卷(解析版) 题型:解答题

如图,在正方形ABCD中,点E、F分别在边AB、BC上,∠ADE=∠CDF.

(1)求证:AE=CF;

(2)连结DB交CF于点O,延长OB至点G,使OG=OD,连结EG、FG,判断四边形DEGF是否是菱形,并说明理由.

查看答案和解析>>

科目:初中数学 来源:2017届浙江省杭州市淳安县九年级下学期期中(中考模拟)考试数学试卷(解析版) 题型:单选题

已知关于x的方程只有一个实数根,则实数a的取值范围是( )

A. a>0 B. a<0 C. a≠0 D. a为一切实数

查看答案和解析>>

同步练习册答案