精英家教网 > 初中数学 > 题目详情

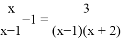
先化简,再求值:÷,请从-1,0,1中选取一个合适的数作为a的值代入求值.

练习册系列答案
相关习题

科目:初中数学 来源:2017届江苏省丹阳市九年级下学期期中考试数学试卷(解析版) 题型:填空题

已知菱形ABCD的对角线AC、BD相交于点O,AE⊥BC,BD =8,sin∠CBD=,则AE=_____________。

查看答案和解析>>

科目:初中数学 来源:2016-2017学年江苏省无锡市锡北片七年级下学期期中考试数学试卷(解析版) 题型:解答题

解方程组:

(1) (2)

查看答案和解析>>

科目:初中数学 来源:2016-2017学年江苏省无锡市锡北片七年级下学期期中考试数学试卷(解析版) 题型:单选题

下列从左到右的变形属于因式分解的是( )

A. x2+5x-1=x(x+5)-1 B. x2-9=(x+3)(x-3)

C. x2-4+3x=(x+2)(x-2)+3x D. (x+2)(x-2)=x2-4

查看答案和解析>>

科目:初中数学 来源:2017届河南省周口市招第二次模拟考试数学试卷(解析版) 题型:解答题

“五一”期间,甲、乙两家商店以同样价格销售相同的商品,它们的优惠方案分别为:甲店,一次性购物中超过200元后的价格部分打七折;乙店,一次性购物中超过500元后的价格部分打五折.设商品原价为x元(x ≥ 0),购物应付金额为y元.

(1)求甲商店购物时y1与x之间的函数关系;

(2)两种购物方式对应的函数图象如图所示,求交点C的坐标;

(3)根据图象,请直接写出“五一”期间选择哪家商店购物更优惠.

查看答案和解析>>

科目:初中数学 来源:2017届河南省周口市招第二次模拟考试数学试卷(解析版) 题型:填空题

计算:-︱-2︱=______.

查看答案和解析>>

科目:初中数学 来源:2017届河南省周口市招第二次模拟考试数学试卷(解析版) 题型:单选题

如图所示的几何体的俯视图是( )

A. B. C. . D.

查看答案和解析>>

科目:初中数学 来源:[首发]2016-2017学年江苏省南通市七年级下学期期中考试数学试卷(解析版) 题型:单选题

如图,在平面直角坐标系中,一动点从原点O出发,沿着箭头所示方向,每次移动1个单位,依次得到点(0,1),(1,1),(1,0),(1,-1),(2,-1),(2,0),…,则点的坐标是

A. (671,-1) B. (672,0) C. (672,1) D. (672,-1)

查看答案和解析>>

科目:初中数学 来源:[首发]2016-2017学年山东省八年级下学期期中考试数学试卷(解析版) 题型:解答题

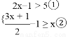
①解不等式组:,并把解集表示在数轴上.

②因式分解: a2(a-b)2-b2(a-b)2

③计算:÷+

④解方程:

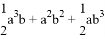
⑤先分解因式,再求值:已知,求的值.

查看答案和解析>>

同步练习册答案