精英家教网 > 初中数学 > 题目详情

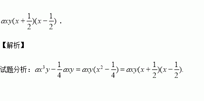
分解因式: .

练习册系列答案
相关习题

科目:初中数学 来源:2016届福建省厦门市翔安区九年级质量检查考试数学试卷(解析版) 题型:选择题

单项式的系数是( )

A.1 B.2 C. D.

查看答案和解析>>

科目:初中数学 来源:2016届江苏省扬州市梅苑双语学校九年级第二次中考模拟数学试卷(解析版) 题型:填空题

如图,直线l1∥l2,l3⊥l4,∠1+∠2= °

查看答案和解析>>

科目:初中数学 来源:2015-2016学年江西省宜春市八年级上学期期末考试数学试卷(解析版) 题型:解答题

如图,已知△ABC中AB=AC,BD、CD分别平分∠EBA、∠ECA,BD交AC于F,连接AD.

(1)当∠BAC=50°时,求∠BDC的度数;

(2)请直接写出∠BAC与∠BDC的数量关系;

(3)求证:AD∥BE.

查看答案和解析>>

科目:初中数学 来源:2015-2016学年江西省宜春市八年级上学期期末考试数学试卷(解析版) 题型:解答题

如图,在△AEC和△DBF中,∠E=∠F,点A、B、C、D在同一条直线上, AB=CD、CE∥BF. 求证:△AEC≌△DBF。

查看答案和解析>>

科目:初中数学 来源:2015-2016学年江西省宜春市八年级上学期期末考试数学试卷(解析版) 题型:选择题

如图,已知在△ABC中,CD是AB边上的高线, BE平分∠ABC,交CD于点E,BC=5,DE=2,则△BCE的面积等于( )

A.10 B.7 C.5 D.4

查看答案和解析>>

科目:初中数学 来源:2015-2016学年江苏省东台市七校八年级下第一次质检数学试卷(解析版) 题型:解答题

如图,矩形ABCD中,对角线AC、BD相交于点O,AE∥BD,DE∥AC.

求证:OE⊥AD

查看答案和解析>>

科目:初中数学 来源:2015-2016学年江苏省东台市七校八年级下第一次质检数学试卷(解析版) 题型:选择题

已知菱形的周长为40 cm,两对角线长度比为3:4,则对角线长分别为( )

A.12 cm.16 cm B.6 cm,8 cm C.3 cm,4 cm D.24 cm,32 cm

查看答案和解析>>

科目:初中数学 来源:2015-2016学年四川省巴中市巴州区七年级下第一次月考数学试卷(解析版) 题型:填空题

把命题“对顶角相等”写成“如果……,那么…….”的形式为

查看答案和解析>>

同步练习册答案