精英家教网 > 初中数学 > 题目详情

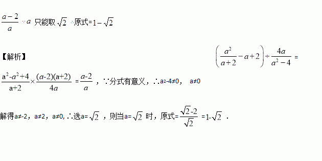
请你先化简,再从 -2,2, 中选择一个合适的a值代入求值.

练习册系列答案
相关习题

科目:初中数学 来源:2017届内蒙古市赤峰市红山区九年级上学期期末学习评价数学试卷(解析版) 题型:单选题

如图,将线段AB绕点O顺时针旋转90°得到线段A′B′,那么A(﹣2,5)的对应点A′的坐标是

A. (2,5) B. (5,2) C. (4, ) D. (,4)

查看答案和解析>>

科目:初中数学 来源:2016-2017学年山东省滨州市邹平双语学校一二区八年级上学期期中考试数学试卷(解析版) 题型:解答题

计算:(1); (2).

查看答案和解析>>

科目:初中数学 来源:2016-2017学年山东省滨州市邹平双语学校一二区八年级上学期期中考试数学试卷(解析版) 题型:单选题

下列分式中,最简分式是(  )

A. B. C. D.

查看答案和解析>>

科目:初中数学 来源:2016-2017学年江苏省苏州张家港市九年级第二学期第一次模拟数学试卷(解析版) 题型:解答题

(本题满分8分)如图,⊙O的直径AC与弦BD相交于点F,点E是DB延长线上一点,

∠EAB=∠ADB.

(1)求证:EA是⊙O的切线;

(2)已知点B是EF的中点,求证:以A、B、C为顶点的三角形与△AEF相似;

(3)在(2)的条件下,已知AF=4,CF=2,求AE的长.

查看答案和解析>>

科目:初中数学 来源:2016-2017学年江苏省苏州张家港市九年级第二学期第一次模拟数学试卷(解析版) 题型:填空题

小明统计了他家今年5月份打电话的次数及通话时间,并列出了频数分布表:

通话时间/min

频数(通话次数)

20

16

9

5

则通话时间不超过1 0min的频率为_____________

查看答案和解析>>

科目:初中数学 来源:2016-2017学年江苏省苏州张家港市九年级第二学期第一次模拟数学试卷(解析版) 题型:单选题

如图,在一个20米高的楼顶上有一信号塔,某同学为了测量信号塔的高度,在地面的处测得信号塔下端的仰角为30°,然后他正对塔的方向前进了8米到达地面的处,又测得信号塔顶端的仰角为45°, 于点, 在一条直线上.信号塔的高度为( )

A. B. C. D.

查看答案和解析>>

科目:初中数学 来源:2017届山东省滨州市无棣县九年级中考模拟数学试卷(解析版) 题型:选择题

在平面直角坐标系中,将点A(﹣1,2)向右平移3个单位长度得到点B,则点B关于x轴的对称点C的坐标是

查看答案和解析>>

科目:初中数学 来源:2016-2017学年山东省临沂市临沭县八年级下学期期中考试数学试卷(解析版) 题型:解答题

如图,在△ABC中,AD是BC边上的中线,E是AD的中点,过点A作BC的平行线交BE的延长线于点F,连接CF.

(1)求证:AF=DC;

(2)若AB=AC,试判断四边形ADCF的形状,并证明你的结论.

查看答案和解析>>

同步练习册答案