精英家教网 > 初中数学 > 题目详情

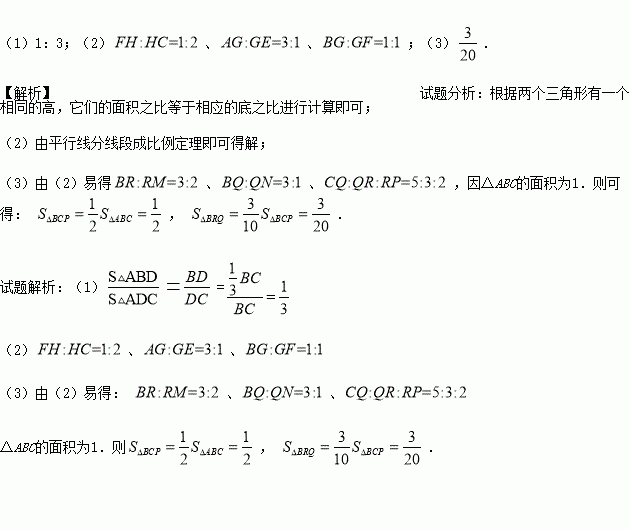
(1)如图1,△ABC中,D是BC边上一点,则△BD与△ADC有一个相同的高,它们的面积之比等于相应的底之比,记为= (△ABD、△ADC的面积分别用S△ABD、S△ADC表示)。现有BD=BC,则S△ABD:S△ADC=

(2)如图2,△ABC中,E、F分别是BC、AC边上一点,且有BE:EC=1:2,AF: FC=1:1,AE与BF相交于点G、现作EH ∥BF交AC于点H、依次求FH :HC、AG: GE、BG:GF的值

(3)如图3,△ABC中,点P在边AB上,点M、N在边AC上,且有AP=PB,AM=MN=NC,BM、BW与CP分别相交于点R、Q.,现已知△ABC的面积为1,求△BRQ的面积。

练习册系列答案
相关习题

科目:初中数学 来源:【全国区级联考】湖南省岳阳地区2017年中考二模数学试卷 题型:解答题

如图,四边形ABCD中,∠A=∠BCD=90°,BC=CD,CE⊥AD,垂足为E,求证:AE=CE.

查看答案和解析>>

科目:初中数学 来源:内蒙古赤峰市宁城县2017届中考第二次模拟数学试卷 题型:单选题

宁城县著名AAAA级景区之一---紫蒙湖(原打虎石水库)总面积为400 公顷,总蓄水量为11960 万立方米。数字11960 万立方米用科学记数法表示为( )立方米.

A. 1.196×109 B. 1.196×108 C. 1.196×104 D. 11.96×108

查看答案和解析>>

科目:初中数学 来源:广西南宁市2017届九年级下学期第一次模拟考试数学试卷 题型:填空题

因式分【解析】
-1-1=.__.

查看答案和解析>>

科目:初中数学 来源:广西南宁市2017届九年级下学期第一次模拟考试数学试卷 题型:单选题

若等腰三角形有两条边的长度为2和5,则此等腰三角形的周长为(  )

A. 9 B. 12 C. 9或12 D. 10

查看答案和解析>>

科目:初中数学 来源:江苏省盐城市滨海2017届初三毕业班第二次调研测试数学试卷(含答案) 题型:解答题

如图,D为⊙O上一点,点C在直径BA的延长线上,且∠CDA=∠CBD.

(1)求证:CD是⊙O的切线;

(2)过点B作⊙O的切线交CD的延长线于点E,BC=6,AD:BD=2:3,求BE的长.

查看答案和解析>>

科目:初中数学 来源:江苏省盐城市滨海2017届初三毕业班第二次调研测试数学试卷(含答案) 题型:填空题

如图,在两个同心圆中,四条直径把大圆分成八等份,若往圆面投掷飞镖,则飞镖落在黑色区域的概率是______

查看答案和解析>>

科目:初中数学 来源:浙江省宁波市南三县2017届九年级毕业生学业水平模拟数学试卷 题型:解答题

为了深化课程改革,某校积极开展校本课程建设,计划成立“文学鉴赏”、“国际象棋”、“音乐舞蹈”和“书法”等多个社团,要求每位学生都自主选择其中一个社团.为此,随机调查了本校部分学生选择社团的意向,并将调查结果绘制成如下统计图(不完整):

根据统计图的信息,解答下列问题:

(1)求本次抽样调查的学生总人数及a、b的值;

(2)将条形统计图补充完整;

(3)若该校共有1300名学生,试估计全校选择“音乐舞蹈”社团的学生人数.

查看答案和解析>>

科目:初中数学 来源:河北石家庄市2017年九年级中考模拟测数学试卷 题型:单选题

下列命题中,真命题是( )

A. 两条对角线相等的四边形是矩形

B. 两条对角线互相垂直的四边形是菱形

C. 两条对角线互相垂直且相等的四边形是正方形

D. 两条对角线互相平分的四边形是平行四边形

查看答案和解析>>

同步练习册答案