精英家教网 > 初中数学 > 题目详情

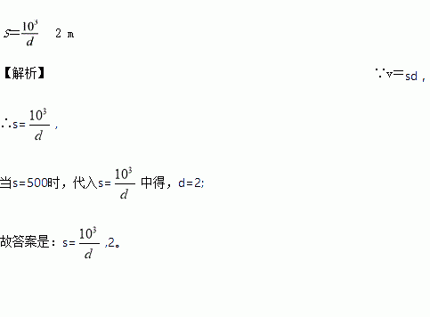
长方体的体积为103 m3,底面积为S,高度为d,则S与d之间的函数关系式为 ____________;当S=500时,d=________________.

练习册系列答案
相关习题

科目:初中数学 来源:2017届内蒙古牙克石市九年级5月毕业生学业水平模拟测试数学试卷(解析版) 题型:选择题

下列3个图形中,能通过旋转得到右侧图形的有( )

A.①② B.①③ C.②③ D.①②③

查看答案和解析>>

科目:初中数学 来源:[首发]2016-2017学年广西桂林市八年级下学期期中质量检测数学试卷(解析版) 题型:解答题

已知:菱形ABCD中,对角线AC与BD相交于点O,点E是BC的中点,OE=8,求AD的长。

查看答案和解析>>

科目:初中数学 来源:[首发]2016-2017学年广西桂林市八年级下学期期中质量检测数学试卷(解析版) 题型:选择题

在平行四边形ABCD中,∠A:∠B:∠C:∠D的值可以是( )

A.1:2:3:4 B.1:2:2:1

C.1:2:1:2 D.1:1:2:2

查看答案和解析>>

科目:初中数学 来源:2017届广西钦州市九年级下学期期中考试数学试卷(解析版) 题型:解答题

如图,把矩形ABCD对折,折痕为MN,矩形DMNC与矩形ABCD相似,已知AB=4.

(1)求AD的长;(2)求矩形DMNC与矩形ABCD的相似比.

查看答案和解析>>

科目:初中数学 来源:2017届广西钦州市九年级下学期期中考试数学试卷(解析版) 题型:选择题

如图,△ABE和△CDE是以点E为位似中心的位似图形,已知点A(3,4),点C(2,2),点D(3,1),则点D的对应点B的坐标是( ).

A.(4,2) B.(4,1) C.(5,2) D.(5,1)

查看答案和解析>>

科目:初中数学 来源:2017届广西钦州市九年级下学期期中考试数学试卷(解析版) 题型:单选题

已知反比例函数y=的图象经过点P(-3,5),则这个函数的图象位于(  )

A. 第二、三象限 B. 第一、三象限 C. 第三、四象限 D. 第二、四象限

查看答案和解析>>

科目:初中数学 来源:2016-2017学年山西省大同市矿区八年级下学期期中考试数学试卷(解析版) 题型:单选题

如图,已知P是正方形ABCD 对角线BD上一点,且BP=BC,则∠DCP的度数是( )

A. 45° B. 22.5° C. 67.5° D. 75°

查看答案和解析>>

科目:初中数学 来源:2016-2017学年江苏省江阴市七年级下学期期中考试数学试卷(解析版) 题型:解答题

因式分【解析】
(1);(2);(3)

查看答案和解析>>

同步练习册答案