精英家教网 > 初中数学 > 题目详情

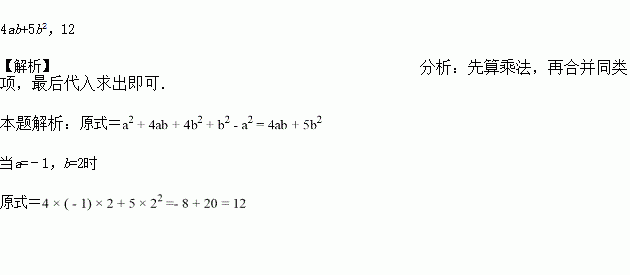
先化简,再求值:(a+2b)2+(b+a)(b﹣a),其中a=﹣1,b=2.

练习册系列答案
相关习题

科目:初中数学 来源:2016-2017学年江苏省启东市七年级下学期期中考试数学试卷(解析版) 题型:填空题

如图,直线l1∥l2,∠α=∠β,∠1=50°,则∠2=______

查看答案和解析>>

科目:初中数学 来源:2016-2017学年江苏省无锡市青阳片七年级下学期期中考试数学试卷(解析版) 题型:单选题

如图,分别是一些汽车的车标,其中,可以看作由“基本图案”经过平移得到的是 ( )

A. B. C. D.

查看答案和解析>>

科目:初中数学 来源:【全国百强校】2016-2017学年广东中山纪念中学、广州市第六中学珠江中学八年级下期中考试数学试卷(解析版) 题型:单选题

如图1,在矩形MNPQ中,动点R从点N出发,沿N→P→Q→M方向运动至点M处停止.设点R运动的路程为x,△MNR的面积为y,如果y关于x的函数图象如图2所示,则当x=9时,点R应运动到( )

A. N处 B. P处

C. Q处 D. M处

查看答案和解析>>

科目:初中数学 来源:【全国百强校】2016-2017学年广东中山纪念中学、广州市第六中学珠江中学八年级下期中考试数学试卷(解析版) 题型:单选题

如果最简二次根式能够合并,那么的值为( ).

A. 2 B. 3 C. 4 D. 5

查看答案和解析>>

科目:初中数学 来源:2016-2017学年江苏省七年级下学期期中考试数学试卷(解析版) 题型:填空题

一个三角形的两边长分别是3和4,第三边为奇数,那么第三边长是____________.

查看答案和解析>>

科目:初中数学 来源:2016-2017学年江苏省七年级下学期期中考试数学试卷(解析版) 题型:填空题

计算:=________

查看答案和解析>>

科目:初中数学 来源:[首发]河南省南阳市新野县2016-2017学年七年级下学期期中考试数学试卷 题型:填空题

李师傅加工1个甲种零件和1个乙种零件的时间分别是固定的,现知道李师傅加工3个甲种零件和5个乙种零件共需55分钟;加工4个甲种零件和9个乙种零件共需85分钟,则李师傅加工2个甲种零件和4个乙种零件共需 分钟.

查看答案和解析>>

科目:初中数学 来源:2017届江苏省无锡市天一实验学校九年级下学期期中考试数学试卷(解析版) 题型:选择题

函数y=的自变量x的取值范围是

A.x=1 B.x≠1 C.x≥1 D.x≤1

查看答案和解析>>

同步练习册答案