精英家教网 > 初中数学 > 题目详情

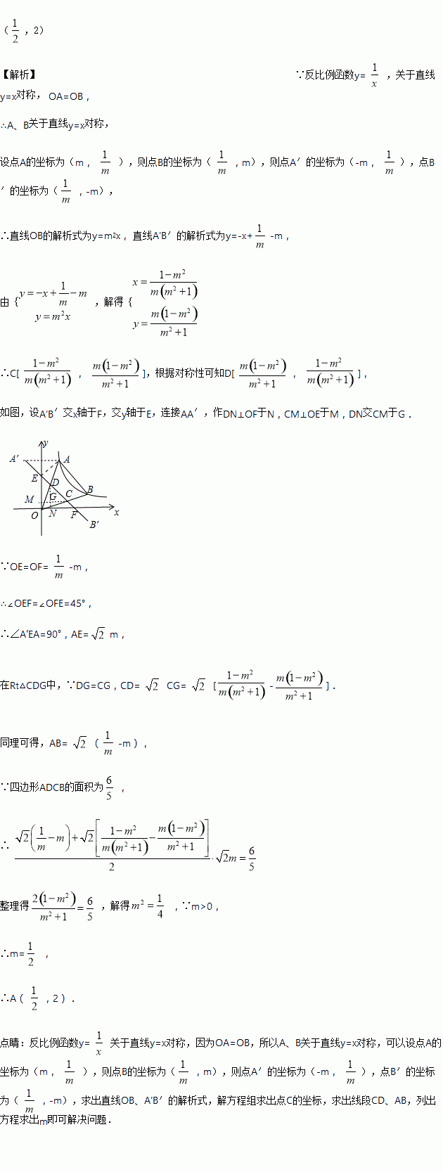
如图,点A,B在反比例函数y=(x >0)的图象上,点A在点B的左侧,且OA=OB,点A关于y轴的对称点为A′,点B关于x轴的对称点为B′,连接A′B′ 分别交OA,OB于点D,C,若四边形ABCD的面积为,则点A的坐标为_______.

练习册系列答案
相关习题

科目:初中数学 来源:江苏省宜兴市宜城环科园教学联盟2017届九年级下学期第二次模拟考试数学试卷 题型:解答题

在一次中学生田径运动会上,根据参加男子跳高初赛的运动员的成绩(单位:m),绘制出如下两幅统计图.请根据相关信息,解答下列问题:

(1)扇形统计图中,初赛成绩为1.65m所在扇形图形的圆心角为_ _°;

(2)补全条形统计图;

(3)这组初赛成绩的中位数是 m;

(4)根据这组初赛成绩确定8人进入复赛,那么初赛成绩为1.60m的运动员杨强能否进入复赛?为什么?

查看答案和解析>>

科目:初中数学 来源:湖南省衡阳市2017届中考模拟联考数学试卷 题型:解答题

如图,在△ABP中,C是BP边上一点,∠PAC=∠PBA,⊙O是△ABC的外接圆,AD是⊙O的直径,且交BP于点E.

(1)求证:PA是⊙O的切线;

(2)过点C作CF⊥AD,垂足为点F,延长CF交AB于点G,

若AG•AB=12,求AC的长.

查看答案和解析>>

科目:初中数学 来源:湖南省衡阳市2017届中考模拟联考数学试卷 题型:单选题

内角为108°的正多边形是 ( )

A. 3 B. 4 C. 5 D. 6

查看答案和解析>>

科目:初中数学 来源:湖南省衡阳市2017届中考模拟联考数学试卷 题型:单选题

-2的倒数是( )

A. B. - C. 2 D. -2

查看答案和解析>>

科目:初中数学 来源:四川省成都市双流区2017年中考适应性训练数学试卷 题型:解答题

已知一次函数y1=2x+m的图象与反比例函数y2=的图象交于A,B两点,且点A的横坐标为1.

(1)求一次函数的表达式;

(2)若反比例函数在第一象限的图象上有一点C到y轴的距离为3,求△ABC的面积.

查看答案和解析>>

科目:初中数学 来源:四川省成都市双流区2017年中考适应性训练数学试卷 题型:填空题

如图,在△ABC中,DE∥BC,AD=,BD=5,AE=2,则EC的长是_______.

查看答案和解析>>

科目:初中数学 来源:[首发]江苏省灌云县西片2016-2017学年七年级下学期第二次月考(5月)数学试卷 题型:解答题

已知都是方程ax+y=b的解,求a与b的值.

查看答案和解析>>

科目:初中数学 来源:[中学联盟]甘肃省武威市民勤实验中学2016-2017学年七年级下学期期中考试数学试卷 题型:单选题

下列命题中是真命题的有(  )

①相等的角是对顶角; ②在同一平面内,若a∥b,b∥c,则a∥c;③同旁内角互补; ④互为邻补角的两角的角平分线互相垂直.⑤平面内,过一点能且只能作一条直线与已知直线垂直

A. 1个 B. 2个 C. 3个 D. 4个

查看答案和解析>>

同步练习册答案