精英家教网 > 初中数学 > 题目详情

某校一课外活动小组为了解学生最喜欢的球类运动情况,随机抽查本校九年级的200名学生,调查的结果如图所示.请根据该扇形统计图解答以下问题:

(1)求图中的x的值;

(2)求最喜欢乒乓球运动的学生人数;

(3)若由3名最喜欢篮球运动的学生,1名最喜欢乒乓球运动的学生,1名最喜欢足球运动的学生组队外出参加一次联谊活动.欲从中选出2人担任组长(不分正副),列出所有可能情况,并求2人均是最喜欢篮球运动的学生的概率.

练习册系列答案
相关习题

科目:初中数学 来源:2017届甘肃兰州市九年级中考模拟数学试卷(解析版) 题型:单选题

圆的半径扩大一倍,则它的相应的圆内接正n边形的边长与半径之比( )

A. 扩大了一倍 B. 扩大了两倍 C. 扩大了四倍 D. 没有变化

查看答案和解析>>

科目:初中数学 来源:2017届广东省汕头市澄海区九年级5月中考模拟数学试卷(解析版) 题型:解答题

如图,已知四边形ABCD内接于⊙O,点E在CB的延长线上,连结AC、AE,∠ACB=∠BAE=45°.

(1)求证:AE是⊙O的切线;

(2)若AB=AD,AC=,tan∠ADC=3,求BE的长.

查看答案和解析>>

科目:初中数学 来源:2017届广东省汕头市澄海区九年级5月中考模拟数学试卷(解析版) 题型:单选题

如图是婴儿车的平面示意图,其中AB∥CD,∠1=120°,∠2=80°,那么∠3的度数为( )

A. 40° B. 50° C. 60° D. 70°

查看答案和解析>>

科目:初中数学 来源:2017届福建省九年级下学期第二次质量检测数学试卷(解析版) 题型:解答题

若抛物线L:y=ax2+bx+c(a,b,c是常数,abc≠0)与直线l都经过y轴上的一点P,且抛物线L的顶点Q在直线l上,则称此直线l与该抛物线L具有“一带一路”关系.此时,直线l叫做抛物线L的“带线”,抛物线L叫做直线l的“路线”.

(1)若直线y=mx+1与抛物线y=x2﹣2x+n具有“一带一路”关系,求m,n的值;

(2)若某“路线”L的顶点在反比例函数y=的图象上,它的“带线”l的解析式为y=2x﹣4,求此“路线”L的解析式;

(3)当常数k满足≤k≤2时,求抛物线L:y=ax2+(3k2﹣2k+1)x+k的“带线”l与x轴,y轴所围成的三角形面积的取值范围.

查看答案和解析>>

科目:初中数学 来源:2017届福建省九年级下学期第二次质量检测数学试卷(解析版) 题型:填空题

如图,在地面上的点A处测得树顶B的仰角为α度,AC=7米,则树高BC为 米(用含α的代数式表示).

查看答案和解析>>

科目:初中数学 来源:2017届福建省九年级下学期第二次质量检测数学试卷(解析版) 题型:单选题

如图,等腰直角三角板的顶点A,C分别在直线上.若,则的度数为( )

A. B. C. D.

查看答案和解析>>

科目:初中数学 来源:2017届安徽六安叶集区桥店中学九年级中考模拟数学试卷(解析版) 题型:填空题

一束光线从点A(3,3)出发,经过y轴上点C反射后经过点B(1,0),则光线从A点到B点经过的路线长是 _.

查看答案和解析>>

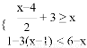
科目:初中数学 来源:2016-2017学年安徽省宁国市D片七年级下学期期中联考数学试卷(解析版) 题型:解答题

解不等式组,并把解集在数轴上表示出来:

查看答案和解析>>

同步练习册答案