精英家教网 > 初中数学 > 题目详情

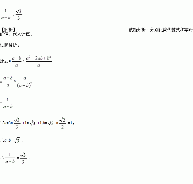
先化简,再求代数式的值,其中

练习册系列答案
相关习题

科目:初中数学 来源:福建省2016-2017学年七年级(下)期末模拟数学试卷 题型:解答题

解方程组或不等式组:

(1)

(2)  

查看答案和解析>>

科目:初中数学 来源:四川省乐山市2016-2017学年七年级(下)期末模拟数学试卷(含答案) 题型:单选题

4的平方根是(  )

A. ±2 B. 2 C. ﹣2 D. ±

查看答案和解析>>

科目:初中数学 来源:【全国区级联考】江西省广丰区2017届初三中考模拟(一)数学试卷 题型:填空题

因式分【解析】
x3﹣4xy2=______.

查看答案和解析>>

科目:初中数学 来源:河南省郑州市2017年九年级中考模拟数学试卷(一) 题型:解答题

如图1,OABC是一张放在平面直角坐标系中的矩形纸片,O为原点,点A在x轴的正半轴上,点C在y轴的正半轴上,OA=5,OC=4.

(1)在OC边上取一点D,将纸片沿AD翻折,使点O落在BC边上的点E处,求D,E两点的坐标;

(2)如图2,若AE上有一动点P(不与A,E重合)自A点沿AE方向E点匀速运动,运动的速度为每秒1个单位长度,设运动的时间为t秒(0<t<5),过P点作ED的平行线交AD于点M,过点M作AE平行线交DE于点N.求四边形PMNE的面积S与时间t之间的函数关系式;当t取何值时,s有最大值,最大值是多少?

(3)在(2)的条件下,当t为何值时,以A,M,E为顶点的三角形为等腰三角形,并求出相应的时刻点M的坐标?

查看答案和解析>>

科目:初中数学 来源:河南省郑州市2017年九年级中考模拟数学试卷(一) 题型:填空题

如图,将边长为3的正六边形铁丝框ABCDEF变形为以点A为圆心,AB为半径的扇形(忽略铁丝的粗细).则所得扇形AFB(阴影部分)的面积为

查看答案和解析>>

科目:初中数学 来源:河南省郑州市2017年九年级中考模拟数学试卷(一) 题型:单选题

在一个不透明的口袋中装有4个红球和若干个白球,他们除颜色外其他完全相同.通过多次摸球实验后发现,摸到红球的频率稳定在25%附近,则口袋中白球可能有( )

A. 16个 B. 15个 C. 13个 D. 12个

查看答案和解析>>

科目:初中数学 来源:陕西省延安市大学区校际联盟2016-2017学年八年级下学期期中考试数学试卷(B) 题型:填空题

“若,则”的逆命题为___________________.

查看答案和解析>>

科目:初中数学 来源:辽宁省大石桥市水源镇九年一贯制学校2016-2017学年七年级下学期期中考试数学试卷 题型:解答题

△ABC三个顶点A、B、C的坐标分别为A(2,﹣1)、B(1,﹣3)、C(4,﹣2).

(1)在直角坐标系中画出△ABC;

(2)把△ABC向左平移4个单位,再向上平移5个单位,恰好得到三角形△A1B1C1,试写出△A1B1C1三个顶点的坐标,并在直角坐标系中描出这些点;

(3)求出△A1B1C1的面积.

查看答案和解析>>

同步练习册答案