精英家教网 > 初中数学 > 题目详情

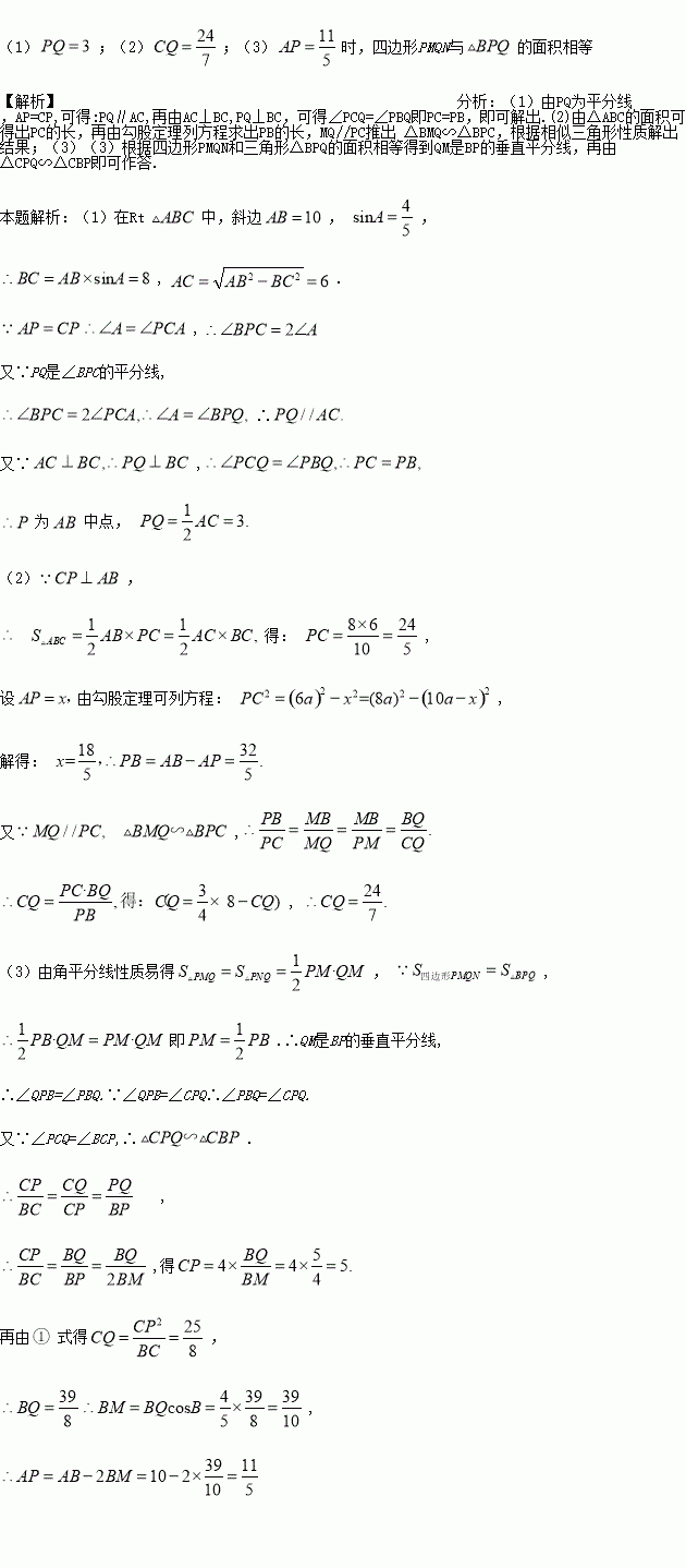
如图,已知,在Rt 中,斜边 ,点P为边AB上一动点(不与A,B重合),PQ平分交边BC于点Q, 于N.

(1)当AP=CP时,求

(2)若 ,求CQ;

(3)探究:AP为何值时,四边形PMQN与的面积相等?

练习册系列答案
相关习题

科目:初中数学 来源:广东省深圳市宝安区2016-2017学年七年级下学期期中考试数学试卷(解析版) 题型:填空题

如图,在△ABC中,E是 BC上的一点,EC=2BE,点D是AC 的中点,设△ABC,△ADF,△BEF 的

面积分别为S△ABC,S△ADF,S△BEF,且S△ABC=12,则S△ADF-S△BEF等于_________.

查看答案和解析>>

科目:初中数学 来源:2017届北京市平谷区4月初三统一练习(一)数学试卷(解析版) 题型:解答题

在△ABC中,AB=AC,∠A=60°,点D是BC边的中点,作射线DE,与边AB交于点E,射线DE绕点D顺时针旋转120°,与直线AC交于点F.

(1)依题意将图1补全;

(2)小华通过观察、实验提出猜想:在点E运动的过程中,始终有DE=DF.小华把这个猜想与同学们进行交流,通过讨论,形成了证明该猜想的几种想法:

想法1:由点D是BC边的中点,通过构造一边的平行线,利用全等三角形,可证DE=DF;

想法2:利用等边三角形的对称性,作点E关于线段AD的对称点P,由∠BAC与∠EDF互补,可得∠AED与∠AFD互补,由等角对等边,可证DE=DF;

想法3:由等腰三角形三线合一,可得AD是∠BAC的角平分线,由角平分线定理,构造点D到AB,AC的高,利用全等三角形,可证DE=DF…….

请你参考上面的想法,帮助小华证明DE=DF(选一种方法即可);

(3)在点E运动的过程中,直接写出BE,CF,AB之间的数量关系.

查看答案和解析>>

科目:初中数学 来源:2017届北京市平谷区4月初三统一练习(一)数学试卷(解析版) 题型:填空题

如果分式的值为0,那么x的值是__________.

查看答案和解析>>

科目:初中数学 来源:2017届北京市平谷区4月初三统一练习(一)数学试卷(解析版) 题型:单选题

如果x+y=4,那么代数式的值是( )

A. ﹣2 B. 2 C. D.

查看答案和解析>>

科目:初中数学 来源:2017届广东省广州市番禺区九年级中考一模数学试卷(解析版) 题型:解答题

已知,求的值.

查看答案和解析>>

科目:初中数学 来源:2017届广东省广州市番禺区九年级中考一模数学试卷(解析版) 题型:填空题

方程组的解是____.

查看答案和解析>>

科目:初中数学 来源:2016-2017学年内蒙古七年级下学期期中考试数学试卷(解析版) 题型:填空题

如图,∠ABC与∠ACB的平分线交于I,若∠ABC+∠ACB=130°,则∠BIC= ______ .

查看答案和解析>>

科目:初中数学 来源:2016-2017学年安徽省蚌埠市、第五中学七年级上学期期中考试数学试卷(解析版) 题型:解答题

已知,如图,A、B分别为数轴上的两点,A点对应的数为-20,B点对应的数为100.

(1)请写出AB中点M对应的数。

(2)现有一只电子蚂蚁P从B点出发,以6单位/秒的速度向左运动,同时另一只电子蚂蚁Q恰好从A点出发,以4单位/秒的速度向右运动。设两只电子蚂蚁在数轴上的C点相遇,你知道C点对应的数是多少吗?

(3)若当电子蚂蚁P从B点出发时,以6单位/秒的速度向左运动,同时另一只电子蚂蚁Q恰好从A点出发,以4单位/秒的速度也向左运动。设两只电子蚂蚁在数轴上的D点相遇,你知道D点对应的数是多少吗?

查看答案和解析>>

同步练习册答案