精英家教网 > 初中数学 > 题目详情

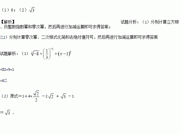
计算:

(1) (2)

练习册系列答案
相关习题

科目:初中数学 来源:2016-2017学年山东省济南市槐荫区八年级下学期期中考试数学试卷(解析版) 题型:填空题

如图,在□ABCD中,∠BAD的平分线AE交边CD于点E,AB=5cm,BC=3cm,则EC=____cm.

查看答案和解析>>

科目:初中数学 来源:2016-2017学年江苏连云港新海实验中学度第二学期九年级中考第一次模拟数学试卷(解析版) 题型:解答题

如图,在平面直角坐标中,点D在y轴上,以D为圆心,作⊙D交x轴于点E、F,交y轴于点B、G,点A在上,连接AB交x轴于点H,连接 AF并延长到点C,使∠FBC=∠A.

(1)判断直线BC与⊙D的位置关系,并说明理由;

(2)求证:BE2=BH·AB;

(3) 若点E坐标为(-4,0),点B的坐标为(0,-2),AB=8,求F与A两点的坐标.

查看答案和解析>>

科目:初中数学 来源:2016-2017学年江苏连云港新海实验中学度第二学期九年级中考第一次模拟数学试卷(解析版) 题型:单选题

如图,在□ABCD中,E为CD上一点,连接AE、BD,且AE、BD交于点F,S△DEF:S△ABF=4:25,则DE:EC=( )

A. 3:2 B. 1:1 C. 2:5 D. 2:3

查看答案和解析>>

科目:初中数学 来源:2016-2017学年山东省八年级下学期期中考试数学试卷(解析版) 题型:解答题

阅读下面材料:

在数学课上,老师请同学思考如下问题:如图1,我们把一个四边形ABCD的四边中点E,F,G,H依次连接起来得到的四边形EFGH是平行四边形吗?

小敏在思考问题时,有如下思路:连接AC.

结合小敏的思路作答:

(1)若只改变图1中四边形ABCD的形状(如图2),则四边形EFGH还是平行四边形吗?说明理由,参考小敏思考问题的方法解决一下问题;

(2)如图2,在(1)的条件下,若连接AC,BD.

①当AC与BD满足什么条件时,四边形EFGH是菱形,写出结论并证明;

②当AC与BD满足什么条件时,四边形EFGH是矩形,直接写出结论.

查看答案和解析>>

科目:初中数学 来源:2016-2017学年山东省八年级下学期期中考试数学试卷(解析版) 题型:填空题

直角三角形斜边长是5,一直角边的长是3,则此直角三角形的面积为___________.

查看答案和解析>>

科目:初中数学 来源:2016-2017学年山东省八年级下学期期中考试数学试卷(解析版) 题型:单选题

如图,?ABCD的对角线AC,BD交于点O,已知AD=8,BD=12,AC=6,则△OBC的周长为( )

A. 13 B. 17 C. 20 D. 26

查看答案和解析>>

科目:初中数学 来源:2017届山东省九年级一轮复习验收考试数学试卷(解析版) 题型:填空题

如图,AB是⊙O的直径,弦CD交AB于点E,且E为OB的中点,∠CDB=30°,CD=,则阴影部分的面积___________.

查看答案和解析>>

科目:初中数学 来源:2016-2017学年山东省七年级下学期期中考试数学试卷(解析版) 题型:单选题

如图,∠1和∠2是对顶角的是(  )

A. B. C. D.

查看答案和解析>>

同步练习册答案