Èçͼ£¬½«OA=6£¬AB=4µÄ¾ØÐÎOABC·ÅÖÃÔÚÆ½ÃæÖ±½Ç×ø±êϵÖУ¬¶¯µãM¡¢NÒÔÿÃë1¸öµ¥Î»µÄËÙ¶È·Ö±ð´ÓµãA¡¢Cͬʱ³ö·¢£¬ÆäÖеãMÑØAOÏòÖÕµãOÔ˶¯£¬µãNÑØCBÏòÖÕµãBÔ˶¯£¬µ±Á½¸ö¶¯µãÔ˶¯ÁËtÃëʱ£¬¹ýµãN×÷NP¡ÍBC£¬½»OBÓÚµãP£¬Á¬½ÓMP¡£

£¨1£©µãBµÄ×ø±êΪ____£»Óú¬tµÄʽ×Ó±íʾµãPµÄ×ø±êΪ____£»
£¨2£©¼Ç¡÷OMPµÄÃæ»ýΪS£¬ÇóSÓëtµÄº¯Êý¹ØÏµÊ½£¨0<t<6£©²¢ÇótΪºÎֵʱ£¬SÓÐ×î´óÖµ£¿
£¨3£©ÊÔ̽¾¿£ºµ±SÓÐ×î´óֵʱ£¬ÔÚyÖáÉÏÊÇ·ñ´æÔÚµãT£¬Ê¹Ö±ÏßMT°Ñ¡÷ONC·Ö¸î³ÉÈý½ÇÐκÍËıßÐÎÁ½²¿·Ö£¬ÇÒÈý½ÇÐεÄÃæ»ýÊÇ¡÷ONCÃæ»ýµÄ£¿Èô´æÔÚ£¬Çó³öµãTµÄ×ø±ê£»Èô²»´æÔÚ£¬Çë˵Ã÷ÀíÓÉ¡£
½â£º£¨1£©£¨6£¬4£©£»£¨£©£»
£¨2£©¡ßS¡÷OMP=¡ÁOM¡Á£¬
¡àS=¡Á£¨6-t£©¡Á=+2t=
¡àµ±t=3ʱ£¬SÓÐ×î´óÖµ£»
£¨3£©´æÔÚ£»
ÓÉ£¨2£©µÃ£ºµ±SÓÐ×î´óֵʱ£¬
µãM¡¢NµÄ×ø±ê·Ö±ðΪ£ºM£¨3£¬0£©£¬N£¨3£¬4£©£¬
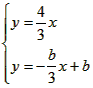
ÔòÖ±ÏßONµÄº¯Êý¹ØÏµÊ½Îª£º£¬
ÉèµãTµÄ×ø±êΪ£¨0£¬b£©£¬ÔòÖ±ÏßMTµÄº¯Êý¹ØÏµÊ½Îª£º£¬
½â·½³Ì×飬µÃ£¬
¡àÖ±ÏßONÓëMTµÄ½»µãRµÄ×ø±êΪ£¬
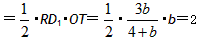
¡ßS¡÷OCN=¡Á4¡Á3=6£¬
¡àS¡÷ORT=S¡÷OCN=2£¬
¢Ùµ±µãTÔÚµãO¡¢CÖ®¼äʱ£¬·Ö¸î³öµÄÈý½ÇÐÎÊÇ¡÷OR1T1£¬
Èçͼ£¬×÷R1D1¡ÍyÖᣬD1Ϊ´¹×㣬
Ôò£¬
¡à£¬
¡à£¨²»ºÏÌâÒ⣬ÉáÈ¥£©
´ËʱµãT1µÄ×ø±êΪ£¨0£¬£©£»
¢Úµ±µãTÔÚOCµÄÑÓ³¤ÏßÉÏʱ£¬·Ö¸î³öµÄÈý½ÇÐÎÊÇ¡÷R2NE£¬
Èçͼ£¬ÉèMT½»CNÓÚµãE£¬ÓɢٵõãEµÄºá×ø±êΪ£¬
×÷R2D2¡ÍCN½»CNÓÚµãD2£¬
Ôò=EN¡¤R2D2===2£¬
¡à£¬
¡à£¨²»ºÏÌâÒ⣬ÉáÈ¥£©£¬
¡à´ËʱµãT2µÄ×ø±êΪ£¨0£¬£©£¬
×ÛÉÏËùÊö£¬ÔÚyÖáÉÏ´æÔÚµãT1£¨0£¬£©£¬T2£¨0£¬£©·ûºÏÌõ¼þ¡£
Á·Ï°²áϵÁдð°¸
  • Î÷³Çѧ¿Æ×¨Ïî²âÊÔϵÁдð°¸
  • С¿¼±Ø×öϵÁдð°¸
  • С¿¼ÊµÕ½ÏµÁдð°¸
  • С¿¼¸´Ï°¾«ÒªÏµÁдð°¸
  • С¿¼×ܶ¯Ô±ÏµÁдð°¸
  • СÉý³õ±Ø±¸³å´Ì48ÌìϵÁдð°¸
  • 68ËùÃûУͼÊéСÉý³õ¸ß·Ö¶á¹ÚÕæ¾íϵÁдð°¸
  • °éÄã³É³¤ÖÜÖÜÁ·ÔÂÔ²âϵÁдð°¸
  • СÉý³õ½ð¾íµ¼Á·ÏµÁдð°¸
  • ÃÈÆëСÉý³õÇ¿»¯Ä£ÄâѵÁ·ÏµÁдð°¸
  • Äê¼¶ ¸ßÖÐ¿Î³Ì Äê¼¶ ³õÖпγÌ
    ¸ßÒ» ¸ßÒ»Ãâ·Ñ¿Î³ÌÍÆ¼ö£¡ ³õÒ» ³õÒ»Ãâ·Ñ¿Î³ÌÍÆ¼ö£¡
    ¸ß¶þ ¸ß¶þÃâ·Ñ¿Î³ÌÍÆ¼ö£¡ ³õ¶þ ³õ¶þÃâ·Ñ¿Î³ÌÍÆ¼ö£¡
    ¸ßÈý ¸ßÈýÃâ·Ñ¿Î³ÌÍÆ¼ö£¡ ³õÈý ³õÈýÃâ·Ñ¿Î³ÌÍÆ¼ö£¡
    Ïà¹ØÏ°Ìâ

    ¿ÆÄ¿£º³õÖÐÊýѧ À´Ô´£º ÌâÐÍ£º

    ¾«Ó¢¼Ò½ÌÍøÈçͼ£¬½«OA=6£¬AB=4µÄ¾ØÐÎOABC·ÅÖÃÔÚÆ½ÃæÖ±½Ç×ø±êϵÖУ¬¶¯µãM¡¢NÒÔÿÃë1¸öµ¥Î»µÄËÙ¶È·Ö±ð´ÓµãA¡¢Cͬʱ³ö·¢£¬ÆäÖеãMÑØAOÏòÖÕµãOÔ˶¯£¬µãNÑØCBÏòÖÕµãBÔ˶¯£¬µ±Á½¸ö¶¯µãÔ˶¯ÁËtÃëʱ£¬¹ýµãN×÷NP¡ÍBC£¬½»OBÓÚµãP£¬Á¬½ÓMP£®
    £¨1£©µãBµÄ×ø±êΪ
     
    £»Óú¬tµÄʽ×Ó±íʾµãPµÄ×ø±êΪ
     
    £»
    £¨2£©¼Ç¡÷OMPµÄÃæ»ýΪS£¬ÇóSÓëtµÄº¯Êý¹ØÏµÊ½£¨0£¼t£¼6£©£»²¢ÇótΪºÎֵʱ£¬SÓÐ×î´óÖµ£¿
    £¨3£©ÊÔ̽¾¿£ºµ±SÓÐ×î´óֵʱ£¬ÔÚyÖáÉÏÊÇ·ñ´æÔÚµãT£¬Ê¹Ö±ÏßMT°Ñ¡÷ONC·Ö¸î³ÉÈý½ÇÐκÍËıßÐÎÁ½²¿·Ö£¬ÇÒÈý½ÇÐεÄÃæ»ýÊÇ¡÷ONCÃæ»ýµÄ
    13
    £¿Èô´æÔÚ£¬Çó³öµãTµÄ×ø±ê£»Èô²»´æÔÚ£¬Çë˵Ã÷ÀíÓÉ£®

    ²é¿´´ð°¸ºÍ½âÎö>>

    ¿ÆÄ¿£º³õÖÐÊýѧ À´Ô´£º ÌâÐÍ£º

    Èçͼ£¬½«OA=8£¬AB=6µÄ¾ØÐÎOABC·ÅÖÃÔÚÆ½ÃæÖ±½Ç×ø±êϵÖУ¬¶¯µãM£¬NÒÔÿÃë1¸öµ¥Î»µÄËÙ¶È·Ö±ð´ÓµãA£¬Cͬʱ³ö·¢£¬ÆäÖеãMÑØAOÏòÖÕµãOÔ˶¯£¬µãNÑØCBÏòÖÕµãBÔ˶¯£¬µ±Á½¸ö¶¯µãÔ˶¯ÁËtÃëʱ£¬¹ýµãN×÷NP¡ÍBC£¬½»OBÓÚµãP£¬Á¬½ÓMP£®
    £¨1£©µãBµÄ×ø±êΪ
    £¨8£¬6£©
    £¨8£¬6£©
    £»Óú¬tµÄʽ×Ó±íʾµãPµÄ×ø±êΪ
    £¨t£¬
    3
    4
    t
    £©
    £¨t£¬
    3
    4
    t
    £©
    £»
    £¨2£©¼Ç¡÷OMPµÄÃæ»ýΪS£¬ÇóSÓëtµÄº¯Êý¹ØÏµÊ½£¨0£¼t£¼8£©£¬²¢Çóµ±tΪºÎֵʱ£¬SÓÐ×î´óÖµ£¿ÈôÓУ¬Çó³öÕâ¸ö×î´óÖµ£»
    £¨3£©ÊÔ̽¾¿£ºÔÚÉÏÊöÔ˶¯¹ý³ÌÖУ¬ÊÇ·ñ´æÔÚijһ¸öʱ¿Ì£¬¡÷OPMÊǵÈÑüÈý½ÇÐΣ¿Èô´æÔÚ£¬Çó³öµãMµÄ×ø±ê£»Èô²»´æÔÚ£¬Çë˵Ã÷ÀíÓÉ£®

    ²é¿´´ð°¸ºÍ½âÎö>>

    ¿ÆÄ¿£º³õÖÐÊýѧ À´Ô´£º ÌâÐÍ£º

    £¨±¾ÌâÂú·Ö10·Ö£©

    Èçͼ£¬½«OA = 6£¬AB = 4µÄ¾ØÐÎOABC·ÅÖÃÔÚÆ½ÃæÖ±½Ç×ø±êϵÖУ¬¶¯µãM¡¢NÒÔÿÃ룱¸öµ¥Î»µÄËÙ¶È·Ö±ð´ÓµãA¡¢Cͬʱ³ö·¢£¬ÆäÖеãMÑØAOÏòÖÕµãOÔ˶¯£¬µãNÑØCBÏòÖÕµãBÔ˶¯£¬µ±Á½¸ö¶¯µãÔ˶¯ÁËtÃëʱ£¬¹ýµãN×÷NP¡ÍBC£¬½»OBÓÚµãP£¬Á¬½ÓMP£®

    £¨1£©µãBµÄ×ø±êΪ¡¡  £»Óú¬tµÄʽ×Ó±íʾµãPµÄ×ø±êΪ     £»(3·Ö)

    £¨2£©¼Ç¡÷OMPµÄÃæ»ýΪS£¬ÇóSÓëtµÄº¯Êý¹ØÏµÊ½£¨0 < t < 6£©£»²¢ÇótΪºÎֵʱ£¬SÓÐ×î´óÖµ£¿(4·Ö)

    £¨3£©ÊÔ̽¾¿£ºµ±SÓÐ×î´óֵʱ£¬ÔÚyÖáÉÏÊÇ·ñ´æÔÚµãT£¬Ê¹Ö±ÏßMT°Ñ¡÷ONC·Ö¸î³ÉÈý½ÇÐκÍËıßÐÎÁ½²¿·Ö£¬ÇÒÈý½ÇÐεÄÃæ»ýÊÇ¡÷ONCÃæ»ýµÄ£¿Èô´æÔÚ£¬Çó³öµãTµÄ×ø±ê£»Èô²»´æÔÚ£¬Çë˵Ã÷ÀíÓÉ£®(3·Ö)

     

    ²é¿´´ð°¸ºÍ½âÎö>>

    ¿ÆÄ¿£º³õÖÐÊýѧ À´Ô´£º ÌâÐÍ£º

    £¨±¾ÌâÂú·Ö10·Ö£©
    Èçͼ£¬½«OA = 6£¬AB = 4µÄ¾ØÐÎOABC·ÅÖÃÔÚÆ½ÃæÖ±½Ç×ø±êϵÖУ¬¶¯µãM¡¢NÒÔÿÃ룱¸öµ¥Î»µÄËÙ¶È·Ö±ð´ÓµãA¡¢Cͬʱ³ö·¢£¬ÆäÖеãMÑØAOÏòÖÕµãOÔ˶¯£¬µãNÑØCBÏòÖÕµãBÔ˶¯£¬µ±Á½¸ö¶¯µãÔ˶¯ÁËtÃëʱ£¬¹ýµãN×÷NP¡ÍBC£¬½»OBÓÚµãP£¬Á¬½ÓMP£®

    £¨1£©µãBµÄ×ø±êΪ¡¡ £»Óú¬tµÄʽ×Ó±íʾµãPµÄ×ø±êΪ    £»(3·Ö)
    £¨2£©¼Ç¡÷OMPµÄÃæ»ýΪS£¬ÇóSÓëtµÄº¯Êý¹ØÏµÊ½£¨0 < t < 6£©£»²¢ÇótΪºÎֵʱ£¬SÓÐ×î´óÖµ£¿(4·Ö)
    £¨3£©ÊÔ̽¾¿£ºµ±SÓÐ×î´óֵʱ£¬ÔÚyÖáÉÏÊÇ·ñ´æÔÚµãT£¬Ê¹Ö±ÏßMT°Ñ¡÷ONC·Ö¸î³ÉÈý½ÇÐκÍËıßÐÎÁ½²¿·Ö£¬ÇÒÈý½ÇÐεÄÃæ»ýÊÇ¡÷ONCÃæ»ýµÄ£¿Èô´æÔÚ£¬Çó³öµãTµÄ×ø±ê£»Èô²»´æÔÚ£¬Çë˵Ã÷ÀíÓÉ£®(3·Ö)

    ²é¿´´ð°¸ºÍ½âÎö>>

    ¿ÆÄ¿£º³õÖÐÊýѧ À´Ô´£º2010Äê¸ß¼¶ÖеÈѧУÕÐÉúÈ«¹úͳһ¿¼ÊÔÊýѧ¾í£¨ºþ±±»Æ¸Ô£© ÌâÐÍ£º½â´ðÌâ

    £¨±¾ÌâÂú·Ö10·Ö£©

    Èçͼ£¬½«OA = 6£¬AB = 4µÄ¾ØÐÎOABC·ÅÖÃÔÚÆ½ÃæÖ±½Ç×ø±êϵÖУ¬¶¯µãM¡¢NÒÔÿÃ룱¸öµ¥Î»µÄËÙ¶È·Ö±ð´ÓµãA¡¢Cͬʱ³ö·¢£¬ÆäÖеãMÑØAOÏòÖÕµãOÔ˶¯£¬µãNÑØCBÏòÖÕµãBÔ˶¯£¬µ±Á½¸ö¶¯µãÔ˶¯ÁËtÃëʱ£¬¹ýµãN×÷NP¡ÍBC£¬½»OBÓÚµãP£¬Á¬½ÓMP£®

    £¨1£©µãBµÄ×ø±êΪ¡¡  £»Óú¬tµÄʽ×Ó±íʾµãPµÄ×ø±êΪ     £»(3·Ö)

    £¨2£©¼Ç¡÷OMPµÄÃæ»ýΪS£¬ÇóSÓëtµÄº¯Êý¹ØÏµÊ½£¨0 < t < 6£©£»²¢ÇótΪºÎֵʱ£¬SÓÐ×î´óÖµ£¿(4·Ö)

    £¨3£©ÊÔ̽¾¿£ºµ±SÓÐ×î´óֵʱ£¬ÔÚyÖáÉÏÊÇ·ñ´æÔÚµãT£¬Ê¹Ö±ÏßMT°Ñ¡÷ONC·Ö¸î³ÉÈý½ÇÐκÍËıßÐÎÁ½²¿·Ö£¬ÇÒÈý½ÇÐεÄÃæ»ýÊÇ¡÷ONCÃæ»ýµÄ£¿Èô´æÔÚ£¬Çó³öµãTµÄ×ø±ê£»Èô²»´æÔÚ£¬Çë˵Ã÷ÀíÓÉ£®(3·Ö)

     

    ²é¿´´ð°¸ºÍ½âÎö>>

    ͬ²½Á·Ï°²á´ð°¸