精英家教网 > 初中数学 > 题目详情

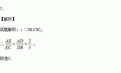
如图,在△ABC中,DE∥BC,若,则=( )

A. B. C. D.

练习册系列答案
相关习题

科目:初中数学 来源:2016届辽宁丹东中考模拟(八)数学试卷(解析版) 题型:选择题

如图,反比例函数y=的图象经过点M,则此反比例函数的解析式为( )

A.y=- B.y= C.y=- D.y=

查看答案和解析>>

科目:初中数学 来源:2016届甘肃白银中考二模数学试卷(解析版) 题型:填空题

把抛物线y=-2x2先向右平移1个单位长度,再向上平移2个单位长度后,所得函数的表达式为

查看答案和解析>>

科目:初中数学 来源:2016届黑龙江大庆房顶中学九年级下期末数学试卷(解析版) 题型:解答题

某学校为了增强学生体质,决定开设以下体育课外活动项目:A篮球、B乒乓球、C跳绳、D踢毽子,为了解学生最喜欢哪一种活动项目,随机抽取了部分学生进行调查,并将调查结果绘制成了两幅不完整的统计图,请回答下列问题:

(1)这次被调查的学生共有 人;

(2)请你将条形统计图补充完成;

(3)在平时的乒乓球项目训练中,甲、乙、丙、丁四人表现优秀,现决定从这四名同学中任选两名参加乒乓球比赛,求恰好选中甲、乙两位同学的概率(用树状图或列表法解答).

查看答案和解析>>

科目:初中数学 来源:2016届黑龙江大庆房顶中学九年级下期末数学试卷(解析版) 题型:填空题

如图是由6个棱长均为1的正方体组成的几何体,它的主视图的面积为 5

查看答案和解析>>

科目:初中数学 来源:2016届黑龙江大庆房顶中学九年级下期末数学试卷(解析版) 题型:选择题

如图,四边形ABCD是菱形,AC=8,DB=6,DH⊥AB于H,则DH等于( )

A. B. C.5 D.4

查看答案和解析>>

科目:初中数学 来源:2016届黑龙江齐齐哈尔铁峰区中考模拟(5月份)数学试卷(解析版) 题型:解答题

甲、乙两车在连通A、B、C三地的公路上行驶,甲车从A地出发匀速向C地行驶,同时乙车从C地出发匀速向b地行驶,到达B地并在B地停留1小时后,按原路原速返回到C地.在两车行驶的过程中,甲、乙两车距B地的路程y(千米)与行驶时间x(小时)之间的函数图象如图所示,请结合图象回答下列问题:

(1)求甲、乙两车的速度,并在图中( )内填上正确的数:

(2)求乙车从B地返回到C地的过程中,y与x之间的函数关系式;

(3)当甲、乙两车行驶到距B地的路程相等时,甲、乙两车距B地的路程是多少?

查看答案和解析>>

科目:初中数学 来源:2016届黑龙江齐齐哈尔铁峰区中考模拟(5月份)数学试卷(解析版) 题型:选择题

如图所示,OAC和△BAD都是等腰直角三角形,∠ACO=∠ADB=90°,反比例函数y=在第一象限的图象经过点B,若OA2-AB2=18,则k的值为( )

A.12 B.9 C.8 D.6

查看答案和解析>>

科目:初中数学 来源:2015-2016学年湖南省常德市澧县七年级下期末数学试卷(解析版) 题型:选择题

过一点画已知直线的平行线( )

A.有且只有一条 B.不存在

C.有两条 D.不存在或有且只有一条

查看答案和解析>>

同步练习册答案