精英家教网 > 初中数学 > 题目详情

          

练习册系列答案
相关习题

科目:初中数学 来源: 题型:


⊿ABC中,∠ABC、∠ACB的平分线相交于点O。

(1)若∠ABC = 40°,∠ACB = 50°,则∠BOC =            

(2)若∠ABC +∠ACB =116°,则∠BOC =           

(3)若∠A = 76°,则∠BOC =          

(4)若∠BOC = 120°,则∠A =           

(5)你能找出∠A与∠BOC 之间的数量关系吗?

查看答案和解析>>

科目:初中数学 来源: 题型:


看图填空:

∵直线AB、CD相交于点O, 
∴∠1与_____是对顶角, 
∠2与_____是对顶角, 
∴∠1=_____,∠2=_____. 
理由是:                     

查看答案和解析>>

科目:初中数学 来源: 题型:


查看答案和解析>>

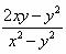
科目:初中数学 来源: 题型:


已知,则________________.

查看答案和解析>>

科目:初中数学 来源: 题型:


查看答案和解析>>

科目:初中数学 来源: 题型:


一列火车从车站开出,预计行程450km,当它开出3h后,因特殊任务多停一站,耽误了30min,后来把速度提高了0.2倍,结果准时到达目的地,求这列火车原来的速度.

查看答案和解析>>

科目:初中数学 来源: 题型:


小明的父亲准备开车旅行100km,在前60km内,速度为90km/h;在后40km内,速度为120km/h。那么小明的父亲的平均速度为            .

查看答案和解析>>

科目:初中数学 来源: 题型:


不等式组的最小整数解是(  ).

A.-1                          B.0

C.2                            D.3

查看答案和解析>>

同步练习册答案