精英家教网 > 初中数学 > 题目详情

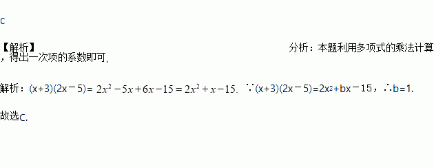
若(x+3)(2x-5)=2x2+bx-15,则b的值为( )

A. -2 B. 2 C. 1 D. -1

练习册系列答案
相关习题

科目:初中数学 来源:2016-2017学年江苏省盐城市盐都区八年级下学期期中考试数学试卷(解析版) 题型:解答题

某校在“6·26国际禁毒日”前组织七年级全体学生320人进行了一次“毒品预防知识”竞赛,赛后随机抽取了部分学生成绩进行统计,制作了频数分布表和频数分布直方图.请根据图表中提供的信息,解答下列问题:

分数段(表示分数)

频数

频率

50≤<60

4

0.1

60≤<70

0.2

70≤<80

12

80≤<90

10

0.25

90≤<100

6

0.15

(1)表中 ,并补全直方图;

(2)若用扇形统计图描述此成绩统计分布情况,则分数段80≤<100对应扇形的圆心角度数是

(3)请估计该年级分数在60≤<70的学生有多少人?

查看答案和解析>>

科目:初中数学 来源:2016-2017学年江苏省扬州市七年级下学期期中考试数学试卷(解析版) 题型:单选题

803﹣80能被(  )整除.

A. 76 B. 78 C. 79 D. 82

查看答案和解析>>

科目:初中数学 来源:2016-2017学年江苏省无锡市宜兴市官林学区七年级下学期期中考试数学试卷(解析版) 题型:填空题

已知x+y=3,xy=1,则 x2+y2的值是__________.

查看答案和解析>>

科目:初中数学 来源:2016-2017学年江苏省无锡市宜兴市官林学区七年级下学期期中考试数学试卷(解析版) 题型:单选题

下面四个图形中,∠1和∠2是同位角的是( )

A. ②③④ B. ①②③ C. ①②③④ D. ①②④

查看答案和解析>>

科目:初中数学 来源:2017届河北省毕业生升学文化课模拟考试数学试卷(解析版) 题型:解答题

黔东南州某中学为了解本校学生平均每天的课外学习实践情况,随机抽取部分学生进行问卷调查,并将调查结果分为A,B,C,D四个等级,设学生时间为t(小时),A:t<1,B:1≤t<1.5,C:1.5≤t<2,D:t≥2,根据调查结果绘制了如图所示的两幅不完整的统计图.请你根据图中信息解答下列问题:

(1)本次抽样调查共抽取了多少名学生?并将条形统计图补充完整;

(2)本次抽样调查中,学习时间的中位数落在哪个等级内?

(3)表示B等级的扇形圆心角α的度数是多少?

(4)在此次问卷调查中,甲班有2人平均每天课外学习时间超过2小时,乙班有3人平均每天课外学习时间超过2小时,若从这5人中任选2人去参加座谈,试用列表或化树状图的方法求选出的2人来自不同班级的概率.

查看答案和解析>>

科目:初中数学 来源:2017届河北省毕业生升学文化课模拟考试数学试卷(解析版) 题型:单选题

如图是二次函数y=ax2+bx+c图象的一部分,其对称轴为x=﹣1,且过点(﹣3,0).下列说法:①abc<0;②2a﹣b=0;③4a+2b+c<0;④若(﹣5,y1),(,y2)是抛物线上两点,则y1>y2.

其中说法正确的是(  )

A. ①② B. ②③ C. ①②④ D. ②③④

查看答案和解析>>

科目:初中数学 来源:2017届江苏省扬州市九年级下学期第一次模拟考试数学试卷(解析版) 题型:解答题

如图1,点O在线段AB上,AO=2,OB=1,OC为射线,且∠BOC=60?,动点P以每秒2个单位长度的速度从点O出发,沿射线OC做匀速运动,设运动时间为t秒.

(1)当t= 时,则OP= ,S△ABP=

(2)当△ABP是直角三角形时,求t的值;

(3)如图2,当AP=AB时,过点A作AQ∥BP,并使得∠QOP=∠B,求证:AQ·BP=3.

查看答案和解析>>

科目:初中数学 来源:2016-2017学年浙江省七年级3月月考数学试卷(解析版) 题型:填空题

_________

查看答案和解析>>

同步练习册答案