精英家教网 > 初中数学 > 题目详情

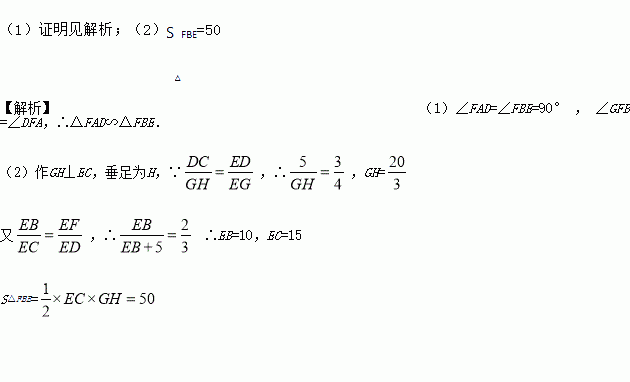
如图,正方形的边BC恰好在边EC上,点D在边EG上,AB与EG交于点F。

(1)求证

(2)若正方形的边长为5, ,求的面积。

练习册系列答案
相关习题

科目:初中数学 来源:2016-2017学年浙江省台州市七年级下学期期中考试数学试卷(解析版) 题型:解答题

如图,把△ABC向上平移3个单位长度,再向右平移2个单位长度,得到△A′B′C′.

(1)在图中画出△A′B′C′,并写出点A′、B′、C′的坐标;

(2)在y轴上求点P,使得△BCP与△ABC面积相等.

查看答案和解析>>

科目:初中数学 来源:2017届安徽省中考第一次模试考数学试卷(解析版) 题型:单选题

下面的数中,比0小的是( )

A. B. C. D. -2016

查看答案和解析>>

科目:初中数学 来源:2017届四川省宜宾县九年级下学期期中考试数学试卷(解析版) 题型:单选题

如图1,点E为矩形ABCD边AD上一点,点P,点Q同时从点B出发,点P沿BE→ED→DC 运动到点C停止,点Q沿BC运动到点C停止,它们运动的速度都是1/s,设P,Q出发t秒时,△BPQ的面积为y,已知y与t的函数关系的图形如图2(曲线OM为抛物线的一部分),则下列结论::①AD=BE=5;②当0<t≤5时; ;③直线NH的解析式为y=-t+27;④若△ABE与△QBP相似,则t=秒. 其中正确的结论个数为( )

A. 4 B. 3 C. 2 D. 1

查看答案和解析>>

科目:初中数学 来源:2017届四川省宜宾县九年级下学期期中考试数学试卷(解析版) 题型:单选题

-9的相反数是( )

A. B. 9 C. D. -9

查看答案和解析>>

科目:初中数学 来源:2017届湖南省邵阳县九年级4月月考(第一次联考)数学试卷(解析版) 题型:填空题

圆心角是且半径为2的扇形面积为_____________.(结果保留

查看答案和解析>>

科目:初中数学 来源:2017届湖南省邵阳县九年级4月月考(第一次联考)数学试卷(解析版) 题型:单选题

如图,⊙O的直径AB垂直于弦CD,垂足为E, ,则CD的长为( )

A. B. 4 C. D. 8

查看答案和解析>>

科目:初中数学 来源:2016-2017学年江苏省江阴市华士片七年级下学期期中考试数学试卷(解析版) 题型:解答题

计算:

(1);(2)3a(-2a2)+a3

查看答案和解析>>

科目:初中数学 来源:2016-2017学年重庆市、李市中学、白沙中学七年级下学期期中联考数学试卷(解析版) 题型:解答题

如图,在平面直角坐标系中,点A,B的坐标分别为(-1,0),(3,0),现同时将点A,B分别向上平移2个单位,再向右平移1个单位,分别得到点A,B的对应点C,D,连接AC,BD.(1)求点C,D的坐标及四边形ABCD的面积S□ABDC;(2)在y轴上是否存在一点P,连接PA,PB,使S△ABC=S□ABDC,若存在这样一点,求出点P的坐标;若不存在,试说明理由;(3)点P是线段BD上的一个动点,连接PC,PO,当点P在BD上移动时(不与B,D重合)给出下列结论:(1) 的值不变,(2) 的值不变,其中有且只有一个是正确的,请你找出这个结论并求其值.

查看答案和解析>>

同步练习册答案