科目:初中数学 来源:2016-2017学年山东省八年级下学期期中考试数学试卷(解析版) 题型:单选题
如图,在一次夏令营活动中,小霞同学从营地A点出发,要到距离A点10千米的C地去,先沿北偏东70°方向走了8千米到达B地,然后再从B地走了6千米到达目的地C,此时小霞在B地的( )
![]()
A. 北偏东20°方向上 B. 北偏西20°方向上
C. 北偏西30°方向上 D. 北偏西40°方向上
查看答案和解析>>
科目:初中数学 来源:2016-2017学年浙江省桐乡市现代片区八年级3月月考数学试卷(解析版) 题型:填空题
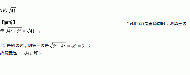
若一直角三角形两直角边的长分别为
,则这个直角三角形斜边上的中线为_________.
查看答案和解析>>
科目:初中数学 来源:2016-2017学年福建省仙游县郊尾、枫亭五校教研小片区八年级下学期第一次月考数学试卷(解析版) 题型:解答题
如图,四边形ABCD是长方形.
![]()
(1) P为长方形内一点(如图
),求证:
;
(2)探索若点P在AD边上(如图b)时,结论是否仍然成立.若成立请证明,不成立请说明理由。
(3)探索若点P在长方形ABCD外(如图c)时,结论是否仍然成立.若成立请证明,不成立请说明理由。
查看答案和解析>>
科目:初中数学 来源:2016-2017学年福建省仙游县郊尾、枫亭五校教研小片区八年级下学期第一次月考数学试卷(解析版) 题型:解答题
如图,要从电线杆离地面8m处向地面拉一条长10m的电缆,求地面电缆固定点A到电线杆底部B的距离.
![]()
查看答案和解析>>
科目:初中数学 来源:2016-2017学年福建省仙游县郊尾、枫亭五校教研小片区八年级下学期第一次月考数学试卷(解析版) 题型:单选题
将面积为8π的半圆与两个正方形拼接如图所示,这两个正方形面积的和为( )
![]()
A. 16 B. 32 C. 8π D. 64
查看答案和解析>>
科目:初中数学 来源:2016-2017学年福建省仙游县郊尾、枫亭五校教研小片区八年级下学期第一次月考数学试卷(解析版) 题型:单选题
如图,?ABCD的对角线AC,BD交于点O,已知AD=8,BD=12,AC=6,则△OBC的周长为( )
![]()
A. 13 B. 17 C. 20 D. 26
查看答案和解析>>
科目:初中数学 来源:2017届山东省诸城市部分学校中考模拟(3月)数学试卷(解析版) 题型:单选题
估计
介于( )之间.
A. 1.4与1.5 B. 1.5与1.6 C. 1.6与1.7 D. 1.7与1.8
查看答案和解析>>
科目:初中数学 来源:2017届江苏省九年级下学期第一次阶段性检测数学试卷(解析版) 题型:填空题
甲、乙两车从A城出发匀速行驶至B城.在整个行驶过程中,甲、乙两车离开A城的距离y(千米)与甲车行驶的时间t(小时)之间的函数关系如图所示.则下列结论:①A,B两城相距300千米;②乙车比甲车晚出发1小时,却早到1小时;③乙车出发后2.5小时追上甲车:④当甲、乙两车相距50千米时,
或
.其中不正确的结论是_____(填序号)
![]()
查看答案和解析>>
湖北省互联网违法和不良信息举报平台 | 网上有害信息举报专区 | 电信诈骗举报专区 | 涉历史虚无主义有害信息举报专区 | 涉企侵权举报专区
违法和不良信息举报电话:027-86699610 举报邮箱:58377363@163.com