精英家教网 > 初中数学 > 题目详情

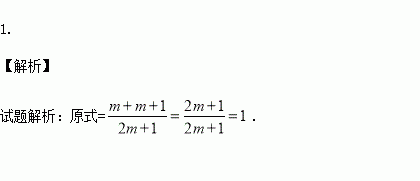
计算:=

练习册系列答案
相关习题

科目:初中数学 来源:2016届吉林长春中考模拟(三)数学试卷(解析版) 题型:填空题

计算:(2a)3a2=

查看答案和解析>>

科目:初中数学 来源:2016届辽宁丹东中考模拟(八)数学试卷(解析版) 题型:解答题

解方程:

查看答案和解析>>

科目:初中数学 来源:2016届辽宁丹东中考模拟(八)数学试卷(解析版) 题型:选择题

-2的值在( )

A.1和2之间 B.2和3之间

C.3和4之间 D.4和5之间

查看答案和解析>>

科目:初中数学 来源:2016届福建南平邵武市中考模拟数学试卷(解析版) 题型:解答题

解方程:

查看答案和解析>>

科目:初中数学 来源:2016届福建南平邵武市中考模拟数学试卷(解析版) 题型:选择题

已知关于x的一元二次方程mx2+2x-1=0有两个不相等的实数根,则m的取值范围是( )

A.m<-1 B.m>1

C.m<1且m≠0 D.m>-1且m≠0

查看答案和解析>>

科目:初中数学 来源:2016届福建南平邵武市中考模拟数学试卷(解析版) 题型:选择题

据2016年南平市政府工作报告,2015年全市外贸出口11.26亿美元,这一数据用科学记数法表示为( )

A.0.1126×1010 B.1.126×109

C.1.126×108 D.11.26×107

查看答案和解析>>

科目:初中数学 来源:2016届甘肃白银中考二模数学试卷(解析版) 题型:填空题

如果菱形的两条对角线的长为a和b,且a,b满足(a-1)2+=0,那么菱形的面积等于

查看答案和解析>>

科目:初中数学 来源:2016届黑龙江齐齐哈尔铁峰区中考模拟(5月份)数学试卷(解析版) 题型:解答题

为了降低塑料袋--“白色污染”对环境污染.学校组织了对使用购物袋的情况的调查,小明同学5月8日到站前市场对部分购物者进行了调查,据了解该市场按塑料购物袋的承重能力分别提供了0.1元,0.2元,0.3元三种质量不同的塑料袋,下面两幅图是这次调查得到的不完整的统计图(若每人每次只使用一个购物袋),请你根据图中的信息,回答下列问题:

(1)这次调查的购物者总人数是 人;

(2)请补全条形统计图,并说明扇形统计图中0.2元部分所对应的圆心角是 度,0.3元部分所对应的圆心角是 度;

(3)若5月8日到该市场购物的人数有3000人次,则该市场应销售塑料购物袋多少个?

查看答案和解析>>

同步练习册答案