精英家教网 > 初中数学 > 题目详情
已知x1、x2是方程x2-2x-2=0的两个实数根,不解方程求下列各式的值。
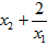
(1)=
(2)=
解:∵x1、x2是方程x2-2x-2=0的两个实数根,
∴由根与系数关系x1+x2=2,x1x2=-2,得:
(1)=
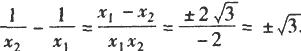
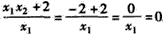
(2)∵(x1-x22=(x1+x22-4x1x2=22-4×(-2)=12,

练习册系列答案
相关习题

科目:初中数学 来源: 题型:

已知x1,x2是方程x2+3x+1=0的两个实数根,则x13+8x2+20=(  )
A、1
B、-1
C、
5
D、-
5

查看答案和解析>>

科目:初中数学 来源: 题型:阅读理解

阅读材料:
如果x1,x2是一元二次方程ax2+bx+c=0的两根,那么有x1+x2=-
b
a
,x1x2=
c
a
.这是一元二次方程根与系数的关系,我们利用它可以用来解题,
例x1,x2是方程x2+6x-3=0的两根,求x21+x22的值.
解法可以这样:∵x1+x2=-6,x1x2=-3
则x21+x22=42.
请你根据以上解法解答下题:
已知x1,x2是方程x2-4x+2=0的两根,求:(x1+x22的值.

查看答案和解析>>

科目:初中数学 来源: 题型:

已知x1、x2是方程x2+4x+2=0的两个实数根,则
1
x1
+
1
x2
的值为(  )

查看答案和解析>>

科目:初中数学 来源: 题型:

(2004•包头)已知x1,x2是方程x2+5x+1=0的两个实数根.
(1)试求A=x12x2+x1x22的值;
(2)试确定x1和x2的符号.

查看答案和解析>>

科目:初中数学 来源: 题型:

已知x1、x2是方程x2+2x-7=0的两个实数根.求下列代数式的值:
(1)x12+x22
(2)x12+3x22+4x2

查看答案和解析>>

同步练习册答案