精英家教网 > 初中数学 > 题目详情

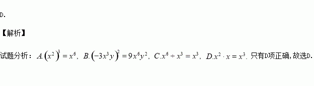
下列计算中正确的是( )

A. B. C. D.

练习册系列答案
相关习题

科目:初中数学 来源:2016届四川省九年级下学期4月一诊考试数学试卷(解析版) 题型:解答题

学校实施新课程改革以来,学生的学习能力有了很大提高.王老师为进一步了解本班学生自主学习、合作交流的现状,对该班部分学生进行调查,把调查结果分成四类(A:特别好,B:好,C:一般,D:较差)后,再将调查结果绘制成两幅不完整的统计图(如图).请根据统计图解答下列问题:

(1)本次调查中,王老师一共调查了__________名学生;

(2)将条形统计图补充完整;

(3)为了共同进步,王老师从被调查的A类和D类学生中分别选取一名学生进行“兵教兵”互助学习,请用列表或画树状图的方法求出恰好选中一名男生和一名女生的概率.

查看答案和解析>>

科目:初中数学 来源:2016届江苏省扬州市梅苑双语学校九年级第二次中考模拟数学试卷(解析版) 题型:填空题

因式分解=(

查看答案和解析>>

科目:初中数学 来源:2015-2016学年江西省宜春市八年级上学期期末考试数学试卷(解析版) 题型:解答题

作图题:(不要求写作法)如图,△ABC在平面直角坐标系中,其中,点A、B、C的坐标分别为A(-2,1),B(-4,5),C(-5,2).

(1)作△ABC关于图中所示直线l:x=-1对称的△A1B1C1,其中,点A、B、C的对应点分别为点A1、B1、C1;

(2)求△A1B1C1的面积.

查看答案和解析>>

科目:初中数学 来源:2015-2016学年江西省宜春市八年级上学期期末考试数学试卷(解析版) 题型:填空题

已知点P关于y轴的对称点在第二象限,则a的取值范围是 .

查看答案和解析>>

科目:初中数学 来源:2015-2016学年江苏省东台市七校八年级下第一次质检数学试卷(解析版) 题型:填空题

四边形ABCD的四个顶点分别作对角线AC、BD的平行线,所围成的四边形EFGH显然是平行四边形.

(1)当四边形ABCD分别是菱形、矩形、正方形时,相应的平行四边形EFGH一定是“菱形、矩形、正方形”中的哪一种?请将你的结论填入下表:

四边形ABCD

菱形

矩形

正方形

平行四边形EFGH

(2)反之,当用上述方法所围成的平行四边形EFGH分别是矩形、菱形、正方形时,相应的原四边形ABCD必须满足怎样的条件?

【解析】
(1)直接在上表中填写

(2)请在下表中填写

平行四边形EFGH

矩形

菱形

正方形

四边形ABCD

查看答案和解析>>

科目:初中数学 来源:2015-2016学年江苏省东台市七校八年级下第一次质检数学试卷(解析版) 题型:填空题

菱形的两邻角的度数之比为l:3,边长为,则高为__________.

查看答案和解析>>

科目:初中数学 来源:2015-2016学年浙江省诸暨市八年级下期中数学试卷(解析版) 题型:解答题

如图,在四边形ABCD中,AB∥CD,∠BCD=90°,AB=AD=10cm,BC=8cm.点P从点A出发,以3cm/s的速度沿折线ABCD方向运动,点Q从点D出发,以2cm/s的速度沿线段DC向点C运动.已知P,Q两点同时出发,当点Q到达点C时,P,Q停止运动,设运动时间为t(s).

(1)、求CD的长.

(2)、当四边形PBQD为平行四边形时,求四边形PBQD的周长.

(3)、当点P在折线BCD上运动时,是否存在某一时刻,使得△BPQ的面积为16cm2?若存在,请求出满足条件的t的值;若不存在,请说明理由.

查看答案和解析>>

科目:初中数学 来源:2015-2016学年四川省巴中市巴州区七年级下第一次月考数学试卷(解析版) 题型:计算题

命题“同位角相等,两直线平行”中,条件是 ,结论是

查看答案和解析>>

同步练习册答案