精英家教网 > 初中数学 > 题目详情
(2008•凉山州)(1)计算:-22+(tan60°-1)×+(--2+(-π)-|2-|;
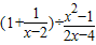
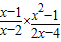
(2)先化简再求值,其中x=3.
(3)物理兴趣小组20位同学在实验操作中的得分情况如下表:
得分(分)10987
人数(人)5843
问:①求这20位同学实验操作得分的众数,中位数;
②这20位同学实验操作得分的平均分是多少?
③将此次操作得分按人数制成如图所示的扇形统计图.扇形①的圆心角度数是多少?

【答案】分析:(1)需注意-22=-4,+(--2=4,(-π)=1;
(2)分子分母能因式分解的式子需先进行因式分解:x2-1=(x+1)(x-1),2x-4=2(x-2);
(3)众数指出现次数最多的数,中位数指按顺序排列后,中间的那个或者两个的平均数.
解答:解:
(1)-22+(tan60°-1)×+(--2+(-π)-|2-|
=-4+(-1)+4+1-2+
=-4+4-+4+1-2+
=2

(2)
=
=
=
当x=3时,原式==

(3)①众数为9,中位数为9;
②平均分==8.7(5分)
③圆心角的度数=(1-25%-40%-20%)×360°=54°.
点评:需注意的知识点为:a-p=,任何不等于0的数的0次幂等于1.
化简时,分子分母能因式分解的式子需先进行因式分解;
还考查了平均数、中位数、众数的认识,以及扇形圆心角的求法.
练习册系列答案
相关习题

科目:初中数学 来源:2008年全国中考数学试题汇编《一次函数》(05)(解析版) 题型:解答题

(2008•凉山州)如图,在△ABC中∠ACB=90°,D是AB的中点,以DC为直径的⊙O交△ABC的三边,交点分别是G,F,E点.GE,CD的交点为M,且ME=4,MD:CO=2:5.
(1)求证:∠GEF=∠A;
(2)求⊙O的直径CD的长;
(3)若cos∠B=0.6,以C为坐标原点,CA,CB所在的直线分别为X轴和Y轴,建立平面直角坐标系,求直线AB的函数表达式.

查看答案和解析>>

科目:初中数学 来源:2008年全国中考数学试题汇编《概率》(01)(解析版) 题型:选择题

(2008•凉山州)向上抛掷一枚硬币,落地后正面向上这一事件是( )
A.必然发生
B.不可能发生
C.可能发生也可能不发生
D.以上都对

查看答案和解析>>

科目:初中数学 来源:2008年全国中考数学试题汇编《数据分析》(04)(解析版) 题型:填空题

(2008•凉山州)质检部门对甲、乙两工厂生产的同样产品抽样调查,计算出甲厂的样本方差为0.99,乙厂的样本方差为1.02,那么,由此可以推断出生产此类产品,质量比较稳定的是    厂(填写“甲”或者“乙”).

查看答案和解析>>

科目:初中数学 来源:2008年全国中考数学试题汇编《数据收集与处理》(04)(解析版) 题型:解答题

(2008•凉山州)(1)计算:-22+(tan60°-1)×+(--2+(-π)-|2-|;
(2)先化简再求值,其中x=3.
(3)物理兴趣小组20位同学在实验操作中的得分情况如下表:
得分(分)10987
人数(人)5843
问:①求这20位同学实验操作得分的众数,中位数;
②这20位同学实验操作得分的平均分是多少?
③将此次操作得分按人数制成如图所示的扇形统计图.扇形①的圆心角度数是多少?

查看答案和解析>>

科目:初中数学 来源:2008年全国中考数学试题汇编《因式分解》(02)(解析版) 题型:填空题

(2008•凉山州)分解因式:ab2-2a2b+a3=   

查看答案和解析>>

同步练习册答案