精英家教网 > 初中数学 > 题目详情

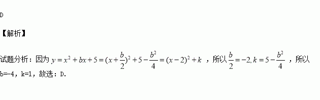
若二次函数 配方后为的值分别为( )

A.0,5 B.0,1 C.-4,5 D.-4,1

练习册系列答案
相关习题

科目:初中数学 来源:2015-2016学年四川省眉山市华兴联谊学校七年级下学期期中数学试卷(解析版) 题型:选择题

把方程的分母化为整数,正确的是( )

A. B.

C. D.

查看答案和解析>>

科目:初中数学 来源:2016届浙江省九年级下学期学科素养测试数学试卷(解析版) 题型:填空题

已知一个几何体由一些大小相同的小正方体组成,它的主视图和俯视图如图所示,那么组成该几何体所需小正方体的个数最多为

查看答案和解析>>

科目:初中数学 来源:2016届新疆乌鲁木齐市九年级下学第一次模拟考试数学试卷(解析版) 题型:解答题

先化简,再求值 ) 其中

查看答案和解析>>

科目:初中数学 来源:2016届新疆乌鲁木齐市九年级下学第一次模拟考试数学试卷(解析版) 题型:选择题

如图,在四边形中,动点从点开始沿的路径匀速前进到为止。在这个过程中,的面积随时间的变化关系用图象表示正确的是 ( )

查看答案和解析>>

科目:初中数学 来源:2016届北京市延庆区九年级上学期期末考试数学试卷(解析版) 题型:解答题

设a,b是任意两个不等实数,我们规定:满足不等式a≤x≤b的实数x的所有取值的全体叫做闭区间,表示为[a,b].对于一个函数,如果它的自变量x与函数值y满足:当m≤x≤n时,有m≤y≤n,我们就称此函数是闭区间[m.n]上的“闭函数”.如函数,当x=1时,y=3;当x=3时,y=1,即当时,有,所以说函数是闭区间[1,3]上的“闭函数”.

(1)反比例函数y=是闭区间[1,2016]上的“闭函数”吗?请判断并说明理由;

(2)若二次函数y=是闭区间[1,2]上的“闭函数”,求k的值;

(3)若一次函数y=kx+b(k≠0)是闭区间[m,n]上的“闭函数”,求此函数的表达式(用含m,n的代数式表示).

查看答案和解析>>

科目:初中数学 来源:2016届北京市延庆区九年级上学期期末考试数学试卷(解析版) 题型:解答题

如图,A、B两座城市相距100千米,现计划在两城市间修筑一条高速公路(即线段AB).经测量,森林保护区中心P点既在A城市的北偏东30°的方向上,又在B城市的南偏东45°的方向上.已知森林保护区的范围是以P为圆心,35千米为半径的圆形区域内.请问:计划修筑的这条高速公路会不会穿越森林保护区?请通过计算说明.(参考数据:≈1.732,≈1.414)

查看答案和解析>>

科目:初中数学 来源:2016届北京市延庆区九年级上学期期末考试数学试卷(解析版) 题型:选择题

在Rt△中,∠C=90°,BC=1,那么AB的长为

A. B. C. D.

查看答案和解析>>

科目:初中数学 来源:2015-2016学年福建省七年级下第一次月考数学试卷(解析版) 题型:填空题

,则m+n的值为

查看答案和解析>>

同步练习册答案