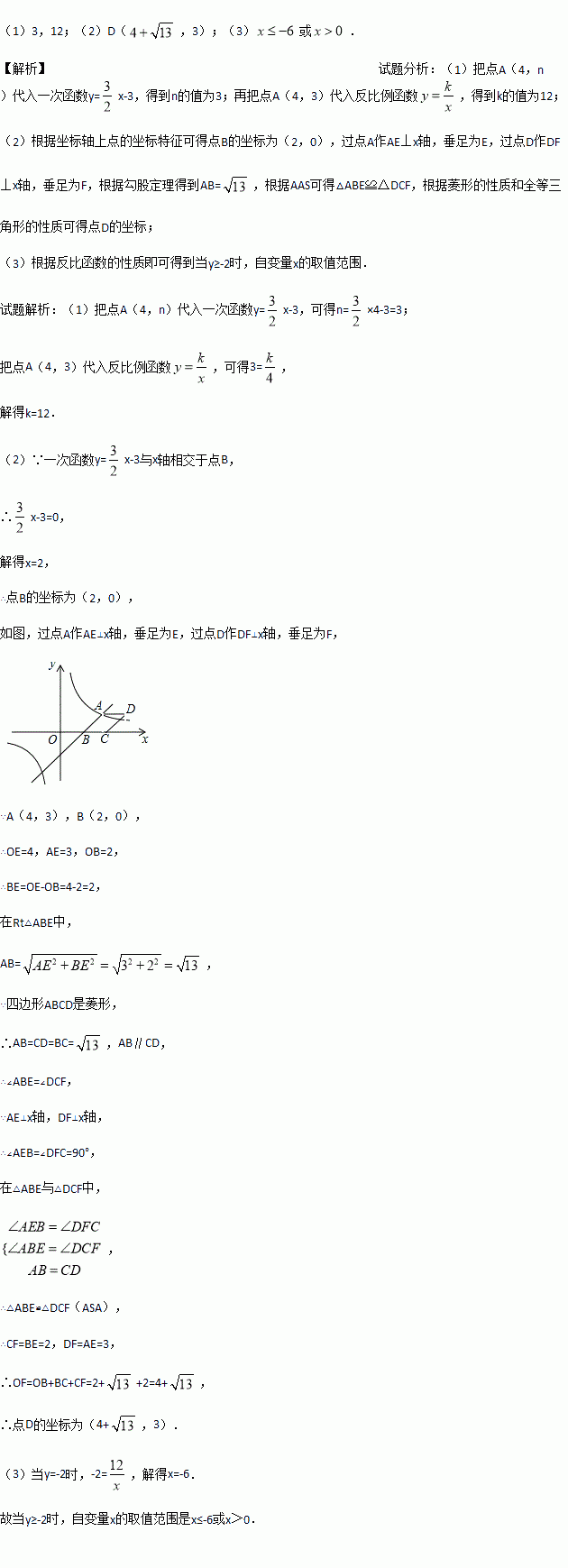
如图,已知一次函数y=
x-3与反比例函数y=
的图象相交于点A(4,n),与x轴相交于点B.
![]()
(1)填空:n的值为 ,k的值为 ;
(2)以AB为边作菱形ABCD,使点C在x轴正半轴上,点D在第一象限,求点D的坐标;
(3)观察反比函数y=
的图象,当y≥-2时,请直接写出自变量x的取值范围.
科目:初中数学 来源:2016-2017学年山东省济南市槐荫区七年级下学期期中考试数学试卷(解析版) 题型:选择题
如图,AB∥CD,AE平分∠CAB交CD于点E,若∠C=50°,则∠AED=( )
![]()
A.65° B.115° C.125° D.130°
查看答案和解析>>
科目:初中数学 来源:2016-2017学年江苏省苏州市七年级下学期期中考试数学试卷(解析版) 题型:解答题
(1)填空:21?20= =2 ( ),22?21= =2 ( ),23?22= =2 ( ),…
(2)探索(1)中式子的规律,试写出第n个等式,并说明第n个等式成立:
(3)计算:20+21+22+…+299.
查看答案和解析>>
科目:初中数学 来源:2016-2017学年江苏省苏州市七年级下学期期中考试数学试卷(解析版) 题型:单选题
如图,直线l1∥l2,∠1=40?,∠2=75?,则∠3等于(? )
![]()
A. 55° B. 60° C. 65° D. 70°
查看答案和解析>>
科目:初中数学 来源:2016-2017学年江苏省苏州市七年级下学期期中考试数学试卷(解析版) 题型:单选题
已知一粒米的质量是0.000021千克,这个数字用科学记数法表示( )
A.
千克 B.
千克 C.
千克 D.
千克
查看答案和解析>>
科目:初中数学 来源:2017届辽宁省铁岭市九年级上学期期末考试数学试卷(解析版) 题型:填空题
如图,已知△ABC中,AB=5,AC=3,点D在边AB上,且∠ACD=∠B,则线段AD的长为 _________.
![]()
查看答案和解析>>
科目:初中数学 来源:2017届辽宁省铁岭市九年级上学期期末考试数学试卷(解析版) 题型:单选题
如图,在矩形ABCD中,E是AD边的中点,BE⊥AC,垂足为点F,连接DF,分析下列四个结论:①△AEF∽△CAB;②CF=2AF;③DF=DC;④tan∠CAD=
.其中正确的结论有( )
![]()
A. 4个 B. 3个 C. 2个 D. 1个
查看答案和解析>>
科目:初中数学 来源:2016-2017学年重庆市、李市中学、白沙中学八年级下学期期中联考数学试卷(解析版) 题型:填空题
如图,△ABC中,AB=6,AC=4,AD、AE分别是其角平分线和中线,过点C作CG⊥AD于F,交AB于G,连接EF,则线段EF的长为________________.
![]()
查看答案和解析>>
科目:初中数学 来源:2016-2017学年江西省抚州市七年级下学期期中考试数学试卷(解析版) 题型:解答题
把几个图形拼成一个新的图形,再通过两种不同的方法计算同一个图形的面积,可以得到一个等式,也可以求出一些不规则图形的面积.
例如,由图1,可得等式:(a+2b)(a+b)=a2+3ab+2b2
(1)如图2,将几个面积不等的小正方形与小长方形拼成一个边长为a+b+c的正方形,试用不同的形式表示这个大正方形的面积,你能发现什么结论?请用等式表示出来.
![]()
(2)利用(1)中所得到的结论,解决下面的问题: 已知a+b+c=11,ab+bc+ac=38,求a2+b2+c2的值.
(3)如图3,将两个边长分别为a和b的正方形拼在一起,B,C,G三点在同一直线上,连接BD和BF.若这两个正方形的边长满足a+b=10,ab=20,请求出阴影部分的面积.
查看答案和解析>>
湖北省互联网违法和不良信息举报平台 | 网上有害信息举报专区 | 电信诈骗举报专区 | 涉历史虚无主义有害信息举报专区 | 涉企侵权举报专区
违法和不良信息举报电话:027-86699610 举报邮箱:58377363@163.com