精英家教网 > 初中数学 > 题目详情

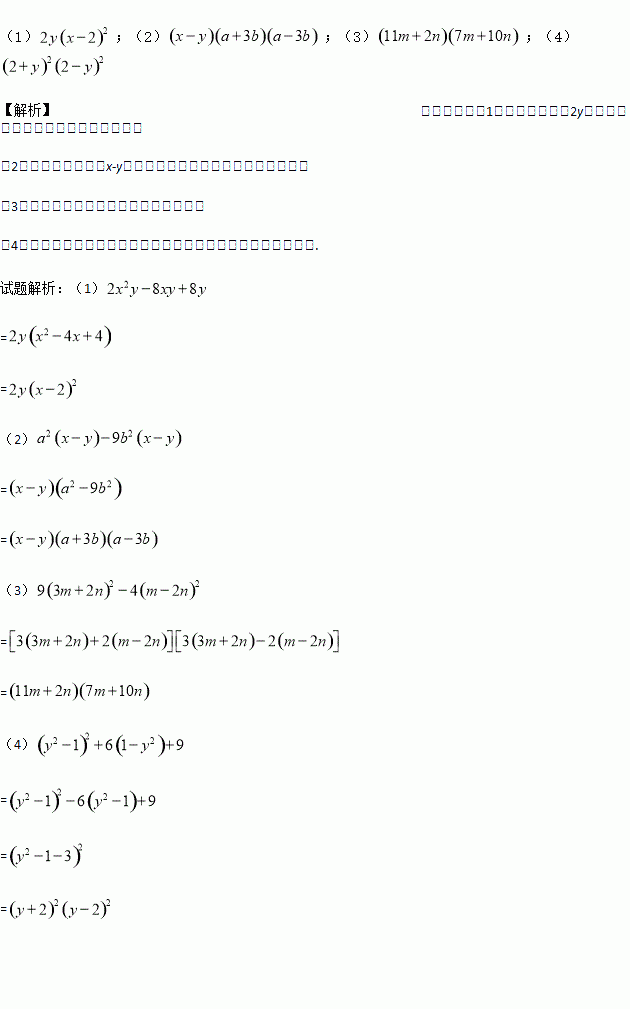
因式分【解析】

(1)

(2)

(3)

(4)

练习册系列答案
相关习题

科目:初中数学 来源: 题型:填空题

4.观察下列各式:
(x-1)(x+1)=x2-1;
(x-1)(x2+x+1)=x3-1;
(x-1)(x3+x2+x+1)=x4-1;
根据前面各式的规律,你能不能得出下面式子的结果.
(x-1)(xn+xn-1+xn-2+…+x+1)=xn+1-1.(其中n为正整数)

查看答案和解析>>

科目:初中数学 来源:2016-2017学年吉林省七年级下学期期中复习数学检测试卷(一)(解析版) 题型:解答题

解方程组:(1)

(2)

查看答案和解析>>

科目:初中数学 来源:2016-2017学年吉林省七年级下学期期中复习数学检测试卷(一)(解析版) 题型:单选题

如果是二元一次方程,那么的值分别是( )

A. 3、1 B. 3、2 C. 2、1 D. 2、-1

查看答案和解析>>

科目:初中数学 来源:2016-2017学年江苏省苏州太仓市第二学期初一期中复习检测数学试卷(一)(解析版) 题型:解答题

(1)先化简,再求值:2+()( -2)-(,其中=-3, .

(2)已知ab=-3,a+b=2.求下列各式的值:

①a2+b2;

②a3b+2a2b2 +ab3;

③a-b.

查看答案和解析>>

科目:初中数学 来源:2016-2017学年江苏省苏州太仓市第二学期初一期中复习检测数学试卷(一)(解析版) 题型:填空题

计算: =___________.

查看答案和解析>>

科目:初中数学 来源: 题型:解答题

3.如图,小明站在看台上的A处,测得旗杆顶端D的仰角为15°,当旗杆顶端D的影子刚好落在看台底部B处时,太阳光与地面成60°角.已知∠ABC=60°,AB=4米,求旗杆的高度.(点A与旗杆DE及其影子在同一平面内,C、B、E三点共线且旗杆与地面垂直,不考虑小明的身高)

查看答案和解析>>

科目:初中数学 来源: 题型:填空题

17.若|2x-y-1|与|x+2y-8|互为相反数,则x=2,y=3.

查看答案和解析>>

科目:初中数学 来源: 题型:填空题

18.关于x的一元二次方程x2-5x+p2-2p+5=0的一个根为p,则实数p=1或$\frac{5}{2}$.

查看答案和解析>>

同步练习册答案