如图,AB∥CD,直线EF分别交AB、CD于E、F两点,若∠FEB=110°,则∠EFD等于( )
![]()
A. 50 ° B. 60° C. 70° D. 110°
科目:初中数学 来源:2016-2017学年山东省滨州市邹平双语学校一二区七年级上学期期中考试数学试卷(解析版) 题型:单选题
有下列各数,0.01,10,-6.67,
,0,-(-3),
,
,其中属于非负整数的共有( )
A. 1个 B. 2个 C. 3个 D. 4个
查看答案和解析>>
科目:初中数学 来源:2016-2017学年安徽省蚌埠市七年级下学期第一次月考数学试卷(解析版) 题型:选择题
运行程序如图所示,规定:从“输入一个值x”到“结果是否>95”为一次程序操作,如果程序操作进行了三次才停止,那么x的取值范围是( )
![]()
A. x≥11 B.11≤x<23 C.11<x≤23 D.x≤23
查看答案和解析>>
科目:初中数学 来源:2016-2017学年广西钦州市七年级3月月考数学试卷(解析版) 题型:解答题
如图,已知AD⊥BC于D,EG⊥BC于G,∠E=∠3,AD平分∠BAC吗 ?若平分,请写出推理过程;若不平分,试说明理由.
![]()
查看答案和解析>>
科目:初中数学 来源:2016-2017学年广西钦州市七年级3月月考数学试卷(解析版) 题型:填空题
如图,请在括号内填上正确的理由:
![]()
因为∠DAC=∠C(已知).
所以AD∥BC ___________________________.
查看答案和解析>>
科目:初中数学 来源:2016-2017学年广西钦州市七年级3月月考数学试卷(解析版) 题型:单选题
有下列说法:①△ABC在平移的过程中,对应线段一定相等。②△ABC在平移的过程中,对应线段一定平行。③△ABC在平移的过程中,周长不变。④△ABC在平移的过程中,面积不变。其中正确的有
A. ①②③ B. ①②④ C. ①③④ D. ②③④
查看答案和解析>>
科目:初中数学 来源:2017届湖北省鄂州市九年级下学期期中考试数学试卷(解析版) 题型:解答题
如图,已知Rt△ABC,∠ABC=90º,以直角边AB为直径作⊙O,交斜边AC于点D,连结BD.
![]()
(1)若AD=3,BD=4,求边BC的长;
(2)取BC的中点E,连结ED,试证明ED与⊙O相切.
查看答案和解析>>
科目:初中数学 来源:2017届湖北省鄂州市九年级下学期期中考试数学试卷(解析版) 题型:单选题
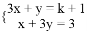
若方程组
的解x、y满足0<x+y<1,则k的取值范围是( )
A. 0<k<8 B. ﹣1<k<0 C. ﹣4<k<0 D. k>﹣4
查看答案和解析>>
湖北省互联网违法和不良信息举报平台 | 网上有害信息举报专区 | 电信诈骗举报专区 | 涉历史虚无主义有害信息举报专区 | 涉企侵权举报专区
违法和不良信息举报电话:027-86699610 举报邮箱:58377363@163.com