精英家教网 > 初中数学 > 题目详情

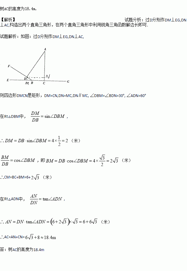
AC是一棵大树,BF是一个斜坡,坡角为30°,某时刻太阳光垂直照射斜坡BF,树顶端A的影子落到斜坡上的点D处,已知BC=6m,BD=4m,求树AC的高度.(结果精确到0.1m.参考数据:

练习册系列答案
相关习题

科目:初中数学 来源:2#240611#3#7#15#2017#湖南长沙市 2017年 九年级数学 中考模拟试卷(含答案)#15#1 题型:解答题

解不等式组: ,并在数轴上表示不等式组的解集.

查看答案和解析>>

科目:初中数学 来源:2#240605#3#7#6#2017#广东省汕尾市2017中考数学二模试卷#6#3 题型:单选题

已知点A(x1,y1)B(x2,y2)是反比例函数图像上的点,若x1>0>x2,则一定成立的是( )

A. y1> y2>0 B. y1>0>y2 C. 0>y1>y2 D. y2>0>y1

查看答案和解析>>

科目:初中数学 来源:2#240604#1#3#5#2017#江苏省盐城市2016-2017学年七年级下学期第二次月考数学试卷#5#1 题型:填空题

写出命题“若2a=4b,则a=2b”的逆命题:______.

查看答案和解析>>

科目:初中数学 来源:2#240604#1#3#5#2017#江苏省盐城市2016-2017学年七年级下学期第二次月考数学试卷#5#1 题型:单选题

20等于(  )

A. 2 B. C. 0 D. 1

查看答案和解析>>

科目:初中数学 来源:2#240603#3#7#20#2017#河南省信阳市2017届九年级第三次中考模拟考试数学试卷#20#1 题型:填空题

如图,两个半径相等的直角扇形的圆心分别在对方的圆弧上,半径AE、CF交于点G,半径BE、CD交于点H.且点C是的中点,若扇形的半径为3.则图中阴影部分的面积等于______.

查看答案和解析>>

科目:初中数学 来源:2#240603#3#7#20#2017#河南省信阳市2017届九年级第三次中考模拟考试数学试卷#20#1 题型:单选题

若不等式组有解,则m的取值范围是( )

A. m>2 B. m<2 C. m≥2 D. m≤2

查看答案和解析>>

科目:初中数学 来源:2#240692#3#7#5#2017#江苏省盐城市2017届九年级下学期第三次模拟考试数学试卷#5#3 题型:解答题

计算:

查看答案和解析>>

科目:初中数学 来源:2#240652#1#3#6#2017#广东省河源市2016-2017学年七年级下学期第二次段考数学试卷#6#1 题型:解答题

等边△ABC中,点P在△ABC内,点Q在△ABC外,且∠ABP=∠ACQ,BP=CQ,

(1)试说明∠BAP=∠CAQ;(2)求∠PAQ的度数。

查看答案和解析>>

同步练习册答案