精英家教网 > 初中数学 > 题目详情

某厂改进工艺降低了某种产品的成本,两个月内从每件产品250元,降低到了每件160元,平均每月降低率为 ( )

A.15% B.20% C.5% D.25%

练习册系列答案
相关习题

科目:初中数学 来源:2016-2017学年江苏省丹阳市八年级下学期期中考试数学试卷(解析版) 题型:解答题

学生的学业负担过重会严重影响学生对待学习的态度.为此我市教育部门对部分学校的八年级学生对待学习的态度进行了一次抽样调查(把学习态度分为三个层级,A级:对学习很感兴趣;B级:对学习较感兴趣;C级:对学习不感兴趣),并将调查结果绘制成图①和图②的统计图(不完整).请根据图中提供的信息,解答下列问题:

(1)此次抽样调查中,共调查了 名学生;

(2)将图①补充完整;

(3)求出图②中C级所占的圆心角的度数;

(4)根据抽样调查结果,请你估计我市近8000名八年级学生中大约有多少名学生学习态度达标(达标包括A级和B级)?

查看答案和解析>>

科目:初中数学 来源:2016-2017学年江苏省宜兴市八年级下学期期中考试数学试卷(解析版) 题型:单选题

如图,平行四边形ABCD中,AB = 6cm,AD=10 cm,点P在AD 边上以每秒1 cm的速度从点A向点D运动,点Q在BC边上,以每秒4 cm的速度从点C出发,在CB间往返运动,两个点同时出发,当点P到达点D时停止 (同时点Q也停止),在运动以后,以P、D、Q、B四点组成平行四边形的次数有(     )

A. 1 次 B. 2次 C. 3次 D. 4次

查看答案和解析>>

科目:初中数学 来源:2017届甘肃兰州市九年级中考模拟数学试卷(解析版) 题型:解答题

解方程:x2+3x﹣4=0(公式法)

查看答案和解析>>

科目:初中数学 来源:2017届甘肃兰州市九年级中考模拟数学试卷(解析版) 题型:单选题

如图,正方形OABC的边长为2,OA与x轴负半轴的夹角为15°,点B在抛物线y=ax2(a<0)的图象上,则a的值为( )

A. B. C. ﹣2 D.

查看答案和解析>>

科目:初中数学 来源:2017届甘肃兰州市九年级中考模拟数学试卷(解析版) 题型:选择题

如图,已知在△ABC中,点D、E、F分别是边AB、AC、BC上的点,DE∥BC,EF∥AB,且AD:DB=3:5,那么CF:CB等于(  )

A.5:8 B.3:8 C.3:5 D.2:5

查看答案和解析>>

科目:初中数学 来源:2015-2016学年江苏省南通市八年级下学期期中考试数学试卷(解析版) 题型:解答题

如图,已知四边形ABCD是矩形,对角线AC、BD交于点O,CE∥BD,DE∥AC,CE与DE交于点E.请探索DC与OE的位置关系,并说明理由.

查看答案和解析>>

科目:初中数学 来源:2015-2016学年江苏省南通市八年级下学期期中考试数学试卷(解析版) 题型:选择题

如图,周长为16的菱形ABCD中,点E,F分别在AB,AD边上,AE=1,AF=3,P为BD上一动点,则线段EP+FP的长最短为( )

A.3 B.4 C.5 D.6

查看答案和解析>>

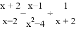
科目:初中数学 来源:2017届福建省九年级下学期第二次质量检测数学试卷(解析版) 题型:解答题

先化简,再求值.,其中x=-1

查看答案和解析>>

同步练习册答案