精英家教网 > 初中数学 > 题目详情

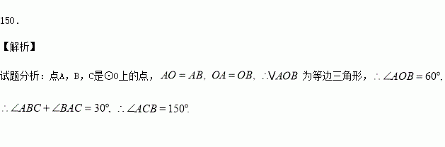
如图,点A,B,C是⊙O上的点,AO=AB,则∠ACB= 度.

练习册系列答案
相关习题

科目:初中数学 来源:2015-2016学年安徽省芜湖市八年级上学期期末数学试卷(解析版) 题型:选择题

(2015秋•芜湖期末)若分式方程﹣1=无解,则m=( )

A.0和3 B.1 C.1和﹣2 D.3

查看答案和解析>>

科目:初中数学 来源:2016届山东省九年级上学期第二次月考数学试卷(解析版) 题型:计算题

解方程

(1)

(2)

查看答案和解析>>

科目:初中数学 来源:2016届山东省九年级上学期第二次月考数学试卷(解析版) 题型:选择题

任意抛掷一枚硬币两次,至少有一次正面朝上的概率是( )

A、 B、 C、 D、

查看答案和解析>>

科目:初中数学 来源:2016届江苏省常州市九年级上学期期中考试数学试卷(解析版) 题型:计算题

如图,AB是⊙O的直径,点C,D在⊙O上,点E在⊙O外,AE是⊙O的切线,∠CAE=60°.

(1)求∠D的度数;

(2)当BC=4时,求劣弧AC的长.

查看答案和解析>>

科目:初中数学 来源:2016届江苏省常州市九年级上学期期中考试数学试卷(解析版) 题型:填空题

方程的解是

查看答案和解析>>

科目:初中数学 来源:2016届江苏省常州市九年级上学期期中考试数学试卷(解析版) 题型:选择题

下列方程中,没有实数根的是( )

A.-4x+4=0

B.-2x+5=0

C.-2x=0

D.-2x-3=0

查看答案和解析>>

科目:初中数学 来源:2016届河北省九年级上学期第三次月考数学试卷(解析版) 题型:选择题

设A(-2,y1),(1,y2),(2,y3)是抛物线y=-(x+1)2+m上的三点,则y1,y2,y3的大小关系为( )

A.y1>y2>y3 B.y1>y3>y2 C.y3>y2>y1 D.y2>y1>y3

查看答案和解析>>

科目:初中数学 来源:2015-2016学年江苏省无锡市新区八年级上学期期末考试数学试卷(解析版) 题型:解答题

计算题:

(1)已知:求x;

(2)计算 :

查看答案和解析>>

同步练习册答案