精英家教网 > 初中数学 > 题目详情

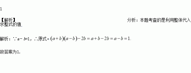
已知a﹣b=1,则a2﹣b2﹣2b的值为___

练习册系列答案
相关习题

科目:初中数学 来源:2017届四川省简阳市阶段教育学校5月调研考模拟数学试卷(解析版) 题型:选择题

函数y=中,自变量x的取值范围是(  )

A.x>-3

B.x≥-3

C.x≠-3

D.x≤-3

查看答案和解析>>

科目:初中数学 来源:2016-2017学年河北省石家庄市长安区七年级下学期期中质量检测数学试卷(解析版) 题型:填空题

计算:=__________

查看答案和解析>>

科目:初中数学 来源:2016-2017学年河北省石家庄市长安区七年级下学期期中质量检测数学试卷(解析版) 题型:单选题

将如图所示的图案通过平移后可以得到的图案是( )

A. B. C. D.

查看答案和解析>>

科目:初中数学 来源:2016-2017学年江苏省附属初级中学七年级下学期期中考试数学试卷(解析版) 题型:解答题

在正方形网格中,每个小正方形的边长均为1个单位长度,△ABC的三个顶点的位置如图所示.现将△ABC平移,

使点A平移到点D,点E、F分别是B、C的对应点.

(1)请画出平移后的△DEF,并求△DEF的面积=

(2)在AB上找一点M,使CM平分△ABC的面积;

查看答案和解析>>

科目:初中数学 来源:2016-2017学年江苏省附属初级中学七年级下学期期中考试数学试卷(解析版) 题型:填空题

如果三角形的两条边长分别为23cm和10cm,第三边与其中一边的长相等,那么第三边的长为__cm.

查看答案和解析>>

科目:初中数学 来源:2016-2017学年江苏省附属初级中学七年级下学期期中考试数学试卷(解析版) 题型:单选题

下列分解因式正确的是(  )

A. ﹣ma﹣m=﹣m(a﹣1) B. a2﹣1=(a﹣1)2

C. a2﹣6a+9=(a﹣3)2 D. a2+2a+4=(a+2)2

查看答案和解析>>

科目:初中数学 来源:2017届安徽省芜湖市中考一模数学试卷(解析版) 题型:单选题

如图所示,直线l和反比例函数y=(k>0)的图象的一支交于A,B两点,P是线段AB上的点(不与A,B重合),过点A,B,P分别向x轴作垂线,垂足分别是C,D,E,连接OA,OB,OP,设△AOC面积是S1,△BOD面积是S2,△POE面积是S3,则( )

A. S1<S2<S3 B. S1>S2>S3 C. S1= S2>S3 D. S1= S2<S3

查看答案和解析>>

科目:初中数学 来源:2017届湖北省枣阳市九年级下学期期中考试数学试卷(解析版) 题型:解答题

先化简再求值:,其中x=-1.

查看答案和解析>>

同步练习册答案