精英家教网 > 初中数学 > 题目详情

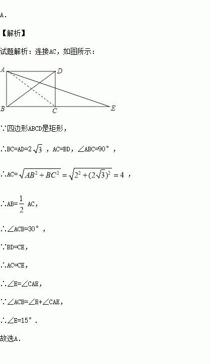
如图,在矩形ABCD中,AB=2,AD=2,点E在BC的延长线上,且BD=CE,连接AE,则∠E的度数为( )

A.15° B.20° C.30° D.45°

练习册系列答案
相关习题

科目:初中数学 来源:2015-2016学年甘肃定西安定区公园路中学八年级下第一次月考数学卷(解析版) 题型:解答题

从旗杆的顶端系一条绳子,垂到地面还多2米,小敏拉起绳子下端绷紧,刚好接触地面,发现绳子下端距离旗杆底部8米,小敏马上计算出旗杆的高度,你知道她是如何解的吗?

查看答案和解析>>

科目:初中数学 来源:2016届江苏省盐城市东台市一教九年级下学期第一次月考数学试卷(解析版) 题型:填空题

若扇形半径为6cm,面积为9πcm2,则该扇形的弧长为 cm.

查看答案和解析>>

科目:初中数学 来源:2015-2016学年湖南省八年级下第一次月考数学试卷(解析版) 题型:解答题

有两棵树,一棵高10米,另一棵高4米,两树相距8米,一只小鸟从一棵树的树梢飞到另一棵树的树梢,问小鸟至少飞行多什么米?

查看答案和解析>>

科目:初中数学 来源:2015-2016学年湖南省八年级下第一次月考数学试卷(解析版) 题型:填空题

在平面直角坐标系xOy中,点P在x轴上,且与原点的距离为,则点P的坐标为

查看答案和解析>>

科目:初中数学 来源:2015-2016学年湖南省八年级下第一次月考数学试卷(解析版) 题型:选择题

在?ABCD中,如果∠A+∠C=140°,那么∠C等于( )

A.20° B.40° C.60° D.70°

查看答案和解析>>

科目:初中数学 来源:2016届云南省九年级下学期第一次月考数学试卷(解析版) 题型:解答题

化简:÷,当a=,b=时,求出这个代数式的值.

查看答案和解析>>

科目:初中数学 来源:2016届云南省九年级下学期第一次月考数学试卷(解析版) 题型:选择题

下列计算正确的是( )

A. B.x6÷x3=x2 C. =2 D.a2(﹣a2)=a4

查看答案和解析>>

科目:初中数学 来源:2016届江苏省泰兴市九年级下学期第一次知识质量调查数学试卷(解析版) 题型:填空题

在活动课上,小明同学刚纸板制作了一个圆锥形漏斗模型,它的底面半径OB=6cm,高OC=8cm.则这个圆锥漏斗的侧面积是 cm2.

查看答案和解析>>

同步练习册答案