精英家教网 > 初中数学 > 题目详情

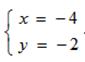
如图,已知函数的图象交于点P, 则 

根据图象可得,关于的二元一次方程组的解是        

 


练习册系列答案
相关习题

科目:初中数学 来源: 题型:


二次函数,以下说法:①它们的图象都是开口向上;

②它们的对称轴都是轴,顶点坐标都是原点(0,0);

③当时,它们的函数值都是随着的增大而增大;

④它们的开口的大小是一样的.

其中正确的说法有(    )

A.1个          B.2个          C.3个            D.4个  

查看答案和解析>>

科目:初中数学 来源: 题型:


如图,小芳在某次投篮中,球的运动路线是抛物线y=-x2+3.5的一部分,若命中篮

圈中心,则他与篮底的距离是(  )

A.3.5 B.4 C.4.5 D.4.6




查看答案和解析>>

科目:初中数学 来源: 题型:


下列图形中既是中心对称图形又是轴对称图形的是(   ).

 

 

查看答案和解析>>

科目:初中数学 来源: 题型:


按下列方式摆放圆形和三角形,观察图形,第10个图形中圆形的个数有(   ).

 


                                          ……

(1)      (2)           (3)

A.36         B.38       C.40        D.42

查看答案和解析>>

科目:初中数学 来源: 题型:


解不等式组,并把解集在数轴上表示出来.

查看答案和解析>>

科目:初中数学 来源: 题型:


如图1,直线与直线交于点A,点P是直线OA上一动点,作PQx轴交直线于点Q,以PQ为边,向下作正方形PQMN,设点P的横坐标为

(1)求交点A的坐标;

(2)求点P从点O运动到点A过程中,正方形PQMN与△OAB重叠的面积S的函数

关系式;

3)是否存在点Q,使△OCQ为等腰三角形,若存在,请直接写出Q的坐标;若不存在,请说明理由.

图1

备用图1

备用图2


查看答案和解析>>

科目:初中数学 来源: 题型:


 写出同时具备下列两个条件的一次函数表达式(写出一个即可)                .

(1)y随着x的增大而减小。    (2)图象经过点(1,-3)

查看答案和解析>>

科目:初中数学 来源: 题型:


小张骑车往返于甲、乙两地,距甲地的路程y(千米)与时间x(时)的函数图象如图所示.

(1)小张在路上停留_________小时,他从乙地返回时骑车的速度为_________千米/时;

(2)小王与小张同时出发,按相同路线匀速前往乙地,距甲地的路程y(千米)与时间x(时)的函数关系式为y=12x+10.小王与小张在途中共相遇 ___ 次?请你计算第一次相遇的时间.

查看答案和解析>>

同步练习册答案