精英家教网 > 初中数学 > 题目详情

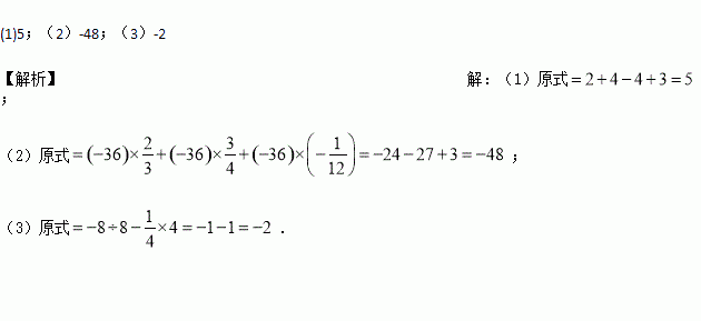
计算:

(1)

(2)

(3).

练习册系列答案
相关习题

科目:初中数学 来源:2016-2017学年江苏省八年级下学期第一次课堂调研数学试卷(解析版) 题型:填空题

如图,A,B两点在反比例函数 的图像上,C,D两点在反比例函数 的图像上,AC⊥x轴于点E,BD⊥x轴于点F,若AC=2,BD=3, ,则k2-k1= _____

查看答案和解析>>

科目:初中数学 来源:2017届四川省宜宾县九年级下学期期中考试数学试卷(解析版) 题型:解答题

“低碳生活,绿色出行”,自行车正逐渐成为人们喜爱的交通工具.某运动商城的自行车销售量自2017年起逐月增加,据统计,该商城1月份销售自行车64辆,3月份销售了100辆.

(1)若该商城前4个月的自行车销量的月平均增长率相同,问该商城4月份卖出多少辆自行车?

(2)考虑到自行车需求不断增加,该商城准备投入3万元再购进一批两种规格的自行车,已知A型车的进价为500元/辆,售价为700元/辆,B型车进价为1000元/辆,售价为1300元/辆.根据销售经验,A型车不少于B型车的2倍,但不超过B型车的2.8倍.假设所进车辆全部售完,为使利润最大,该商城应如何进货?

查看答案和解析>>

科目:初中数学 来源:2017届四川省宜宾县九年级下学期期中考试数学试卷(解析版) 题型:单选题

如图,直线a、b被直线c所截,若a∥b,∠1=60°,那么∠2的度数为( )

A. 120° B. 90° C. 60° D. 30°

查看答案和解析>>

科目:初中数学 来源:2016-2017学年湖北省十堰市七年级上学期期末考试数学试卷(解析版) 题型:解答题

制造厂的某车间生产圆形铁片和长方形铁片,如图,两个圆形铁片和一个长方形铁片可以制造成一个油桶.已知该车间有工人42人,每个工人平均每小时可以生产圆形铁片120片或者长方形铁片80片.问安排生产圆形铁片和长方形铁片的工人各为多少人时,才能使生产的铁片恰好配套?

查看答案和解析>>

科目:初中数学 来源:2016-2017学年湖北省十堰市七年级上学期期末考试数学试卷(解析版) 题型:填空题

计算: =________度.

查看答案和解析>>

科目:初中数学 来源:2016-2017学年湖北省十堰市七年级上学期期末考试数学试卷(解析版) 题型:单选题

如图,左边的平面图形绕轴旋转一周,可以得到的立体图形是(  )

A. B. C. D.

查看答案和解析>>

科目:初中数学 来源:2017届浙江省杭州市九年级3月模拟数学试卷(解析版) 题型:填空题

G20峰会于9月4日至5日在浙江杭州召开,主会场场馆规划总建筑面积1302万平方米。1302万用科学计数法可表示为___________________平方米 。

查看答案和解析>>

科目:初中数学 来源:2016-2017学年广东省深圳市七年级上学期期中考试数学试卷(解析版) 题型:填空题

与 4an b4是同类项,则m+n的值是__________

查看答案和解析>>

同步练习册答案