精英家教网 > 初中数学 > 题目详情

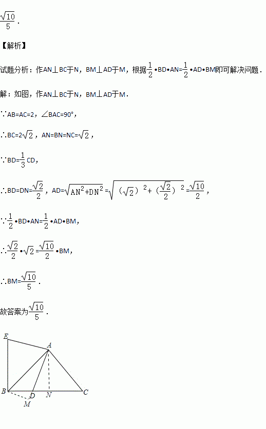
在等腰Rt△ABC中,∠A=90°,AC=AB=2,D是BC边上的点且BD=CD,连接AD,把AD绕着点A顺时针旋转90°得到线段AE,连接BE,则点B到AD的距离为

练习册系列答案
相关习题

科目:初中数学 来源:2015-2016学年甘肃省七年级下第一次月考数学卷(解析版) 题型:填空题

如图,∠ACB=90°,CD⊥AB,垂足为D,则CD<CA,理由是

查看答案和解析>>

科目:初中数学 来源:2015-2016学年安徽省八年级下3月月考数学试卷(解析版) 题型:解答题

已知关于x的一元二次方程x2+2x+2k﹣4=0有两个不相等的实数根.

(1)求k的取值范围;

(2)若k为正整数,且该方程的根都是整数,求k的值.

查看答案和解析>>

科目:初中数学 来源:2015-2016学年安徽省八年级下3月月考数学试卷(解析版) 题型:选择题

函数y=+中自变量x的取值范围是( )

A.x≤2 B.x≤2且x≠1 C.x<2且x≠1 D.x≠1

查看答案和解析>>

科目:初中数学 来源:2016届重庆市九年级下入学数学试卷(解析版) 题型:解答题

如果10b=n,那么称b为n的劳格数,记为b=d (n),由定义可知:10b=n与b=d (n)所表示的是b、n两个量之间的同一关系.

(1)根据劳格数的定义,填空:d(10)= ,d(10﹣2)=

劳格数有如下运算性质:

若m、n为正数,则d(mn)=d(m)+d(n),d()=d(m)﹣d(n).

根据运算性质,填空:= (a为正数).

(2)下表中与数x对应的劳格数d (x)有且只有两个是错误的,请找出错误的劳格数,说明理由并改正.

x

1.5

3

5

6

8

9

12

27

d(x)

3a﹣b+c

2a﹣b

a+c

1+a﹣b﹣c

3﹣3a﹣3c

4a﹣2b

3﹣b﹣2c

6a﹣3b

查看答案和解析>>

科目:初中数学 来源:2016届重庆市九年级下入学数学试卷(解析版) 题型:填空题

2015年12月,Facebook(脸书)创始人扎克伯格在自己的主页上通过一封真挚的书信告诉世界,他为了迎接女儿的降生,扎克伯格在信中宣布将会把他夫妻两人所持有Facebook股份的99%捐赠给慈善机构,总价值约为45000000000美元,把45000000000用科学记数法表示为

查看答案和解析>>

科目:初中数学 来源:2016届重庆市九年级下入学数学试卷(解析版) 题型:选择题

如图,AB∥DE,∠ABC=25°,∠BCD=75°,则∠CDE=( )

A.100° B.70° C.60° D.50°

查看答案和解析>>

科目:初中数学 来源:2016届浙江省湖州市长兴县九年级下返校考数学试卷(解析版) 题型:填空题

如图,已知在⊙O中,AB是弦,半径OC⊥AB,垂足为点D,要使四边形OACB为菱形,还需要添加一个条件,这个条件可以是

查看答案和解析>>

科目:初中数学 来源:2016届福建省厦门外国语学校海沧附属学校九年级上期中数学试卷(解析版) 题型:解答题

已知关于x的方程(a2+1)x2﹣2(a+b)x+b2+1=0

(1)若b=2,且2是此方程的根,求a的值;

(2)若此方程有实数根,当﹣3<a<﹣1时,求b的取值范围.

查看答案和解析>>

同步练习册答案