精英家教网 > 初中数学 > 题目详情

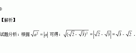
下列运算中错误的是( )

A、 B、

C、 D、

练习册系列答案
相关习题

科目:初中数学 来源:2016届广东省深圳市17所名校九年级下学期联考数学试卷(解析版) 题型:解答题

如图,直线与反比例函数的图象相交于两点,延长AO交反比例函数图象于点C,连接OB

(1)求k和b的值;

(2)直接写出一次函数值小于反比例函数值的自变量x的取值范围;

(3)在y轴上是否存在一点P,使?若存在请求出点P坐标,若不存在请说明理由。

查看答案和解析>>

科目:初中数学 来源:2015-2016学年福建省七年级下第一次月考数学试卷(解析版) 题型:选择题

在下述的四个说法中:

(1)、﹣27的立方根是3;(2)、49的算术平方根为±7;(3)、的立方根为;(4)、的平方根为.正确的说法的个数是( )

A.1 B.2 C.3 D.4

查看答案和解析>>

科目:初中数学 来源:2015-2016学年福建省八年级下第一次月考数学试卷(解析版) 题型:填空题

如图,□ABCD中,DB=DC,∠C=70°,AE⊥BD于E,则∠DAE=_____度.

查看答案和解析>>

科目:初中数学 来源:2015-2016学年福建省八年级下第一次月考数学试卷(解析版) 题型:选择题

如图,棱长为1的正方体木块上有一只小虫从顶点A出发沿着正方体的外表面爬到顶点B,则它爬行的最短路程是( )

A、3 B、 C、 D、2

查看答案和解析>>

科目:初中数学 来源:2016届浙江省绍兴市浣江教育集团九年级下学期3月检测数学试卷(解析版) 题型:解答题

定义:两组邻边分别相等的四边形叫做筝形.

(1)、请写出除定义外的性质和判定猜想各一条,并从定义出发证明你的判定猜想.

(2)、筝型ABCD中,对角线AC,BD相交于点O.

①如图1,若BD=CO,求tan∠BCD的值.

②如图2,若∠DAC=∠BCD=72º,求AD:CD的值.

(3)、如图3,把△ABD沿着对角线BD翻折,A点落在对角线AC上的E点.如果△AOD中,一个内角是另一个内角的2倍,且阴影部分图形的面积等于四边形ABED的面积,直接写出的值.

查看答案和解析>>

科目:初中数学 来源:2016届浙江省绍兴市浣江教育集团九年级下学期3月检测数学试卷(解析版) 题型:解答题

(1)计算:2sin45°-; (2)化简:(x-1)(x+2)+

查看答案和解析>>

科目:初中数学 来源:2016届浙江省金华市九年级下学期六校联考数学试卷(解析版) 题型:解答题

已知:如图,抛物线y=ax2+bx+c与x轴交于点A(0,4)、E(0,-2)两点,与y轴交于点B(2,0),连结AB。过点A作直线AK⊥AB,动点P从点A出发以每秒个单位长度的速度沿射线AK运动,设运动时间为t秒,过点P作PC⊥x轴,垂足为C,把△ACP沿AP对折,使点C落在点D处。

(1)、求抛物线的解析式;

(2)、当点D在△ABP的内部时,△ABP与△ADP不重叠部分的面积为S,求S与t之间的函数关系式,并直接写出t的取值范围;

(3)、是否存在这样的时刻,使动点D到点O的距离最小,若存在请求出这个最小距离,若不存在说明理由.

查看答案和解析>>

科目:初中数学 来源:2016届浙江省九年级下学期3月阶段考试数学试卷(解析版) 题型:选择题

如图是由6个同样大小的正方体摆成的几何体.将标有“1”的这个正方体移走后,所得几何体( )

A. 俯视图改变,左视图改变 B. 主视图改变,左视图不变

C. 俯视图不变,主视图不变 D. 主视图不变,左视图改变

查看答案和解析>>

同步练习册答案