精英家教网 > 初中数学 > 题目详情
如图,菱形ABCD的边长为6cm,∠DAB=60°,点M是边AD上的点,且DM=2cm,点E、F分别从A、C同时出发,以1cm/s的速度分别沿AC、CB向B运动,EM,CD的延长线相交于G,GF交AD于O,设运动时间为x(s),△CGF的面积为y(cm2
(1)求y与x之间的函数关系式.
(2)当x为何值时GF⊥AD?
解:(1)∵△DMG∽△AME,

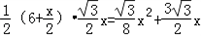
∴DG===
∴GC=6+
过F作FH⊥DC于H点,
∴FH=CFsin60°=x,
∴y=GCFH,y=
(2)∵GF⊥AD,AD∥BC
∴GF⊥BC
∵∠C=60°
∴∠CGF=30°
∴CF=GC
∵DM=2cm
∴AM=4
∵△DMG∽△AME,


∴GD=
∴GC=6+
∴x=x+6)
∴x=4
∴当 x=4时,GF⊥AD.
练习册系列答案
相关习题

科目:初中数学 来源: 题型:

精英家教网如图,菱形ABCD的边长为2,∠ABC=45°,则点D的坐标为
 

查看答案和解析>>

科目:初中数学 来源: 题型:

精英家教网如图,菱形ABCD的对角线AC=6,BD=8,∠ABD=α,则下列结论正确的是(  )
A、sinα=
4
5
B、cosα=
3
5
C、tanα=
4
3
D、tanα=
3
4

查看答案和解析>>

科目:初中数学 来源: 题型:

如图,菱形ABCD的边长为6且∠DAB=60°,以点A为原点、边AB所在的直线为x轴且顶点D在第一象限建立平面直角坐标系.动点P从点D出发沿折线DCB向终点B以2单位/每秒的速度运动,同时动点Q从点A出发沿x轴负半轴以1单位/秒的速度运动,当点P到达终点时停止运动,运动时间为t,直线PQ交边AD于点E.
(1)求出经过A、D、C三点的抛物线解析式;
(2)是否存在时刻t使得PQ⊥DB,若存在请求出t值,若不存在,请说明理由;
(3)设AE长为y,试求y与t之间的函数关系式;
(4)若F、G为DC边上两点,且点DF=FG=1,试在对角线DB上找一点M、抛物线ADC对称轴上找一点N,使得四边形FMNG周长最小并求出周长最小值.

查看答案和解析>>

科目:初中数学 来源: 题型:

如图,菱形ABCD的边长为8cm,∠B=60°,P、Q同时从A点出发,点P以1cm/秒的速度沿A→C→B的方向运动,点Q以2cm/秒的速度沿A→B→C→D的方向运动.当点Q运动到D点时,P、Q两点同时停止运动.设P、Q运动的时间为x秒,△APQ与△ABC重叠部分的面积为ycm2(规定:点和线段是面积为0的三角形).
(1)当x=
8
8
秒时,P和Q相遇;
(2)当x=
(12-4
3
(12-4
3
秒时,△APQ是等腰直角三角形;
(3)当x=
32
3
32
3
秒时,△APQ是等边三角形;
(4)求y关于x的函数关系式,并求y的最大值.

查看答案和解析>>

科目:初中数学 来源: 题型:

已知:如图,菱形ABCD的周长为8cm,∠ABC:∠BAD=2:1,对角线AC、BD相交于点O,求BD及AC的长.

查看答案和解析>>

同步练习册答案