精英家教网 > 初中数学 > 题目详情

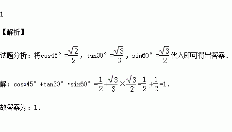
计算:cos245°+tan30°•sin60°=

练习册系列答案
相关习题

科目:初中数学 来源:2017届江苏省东台市第一教育联盟九年级下学期第一次月考数学试卷(解析版) 题型:填空题

若关于的一元二次方程的一个根是,则的值为__.

查看答案和解析>>

科目:初中数学 来源:2017届河北省保定市徐水县中考模拟数学试卷(解析版) 题型:解答题

计算:﹣14+(2﹣2)0+|﹣2015|﹣4cos60°.

查看答案和解析>>

科目:初中数学 来源:2017届四川广元中学中考模拟数学试卷(三)(解析版) 题型:解答题

在平面直角坐标系中,O为原点,点A(4,0),点B(0,3),把△ABO绕点B逆时针旋转,得△A′BO′,点A,O旋转后的对应点为A′,O′,记旋转角为α.

(Ⅰ)如图①,若α=90°,求AA′的长;

(Ⅱ)如图②,若α=120°,求点O′的坐标;

(Ⅲ)在(Ⅱ)的条件下,边OA上 的一点P旋转后的对应点为P′,当O′P+BP′取得最小值时,求点P′的坐标(直接写出结果即可)

查看答案和解析>>

科目:初中数学 来源:2017届四川广元中学中考模拟数学试卷(三)(解析版) 题型:填空题

如图,是一次函数y=kx+b与反比例函数y=的图象,则关于x的方程kx+b=的解为__.

查看答案和解析>>

科目:初中数学 来源:2017届四川广元中学中考模拟数学试卷(三)(解析版) 题型:单选题

在某次聚会上,每两人都握了一次手,所有人共握手10次,设有x人参加这次聚会,则列出方程正确的是(  )

A. x(x﹣1)=10 B. =10 C. x(x+1)=10 D. =10

查看答案和解析>>

科目:初中数学 来源:2017届山东省济宁市任城区九年级下学期第一次模拟考试数学试卷(解析版) 题型:解答题

(本题满分9分)小明一直对四边形很感兴趣,在矩形ABCD中,E是AC上任意一点,连接DE,作DE⊥EF,交AB于点F.请你跟着他一起解决下列问题:

(1)如图①,若AB=BC,则DE,EF有什么数量关系?请给出证明.

(2)如图②,若∠CAB=30°,则DE,EF又有什么数量关系?请给出证明.

(3)由(1)、(2)这两种特殊情况,小明提出问题:如果在矩形ABCD中,BC=mAB,那DE,EF有什么数量关系?请给出证明.

查看答案和解析>>

科目:初中数学 来源:2017届山东省济宁市任城区九年级下学期第一次模拟考试数学试卷(解析版) 题型:单选题

下列图形中,既是中心对称图形又是轴对称图形的是(  )

A. B. C. D.

查看答案和解析>>

科目:初中数学 来源:江苏省南通市2016-2017学年八年级下学期期中考试数学试卷 题型:解答题

计算:(1); (2)

查看答案和解析>>

同步练习册答案