精英家教网 > 初中数学 > 题目详情

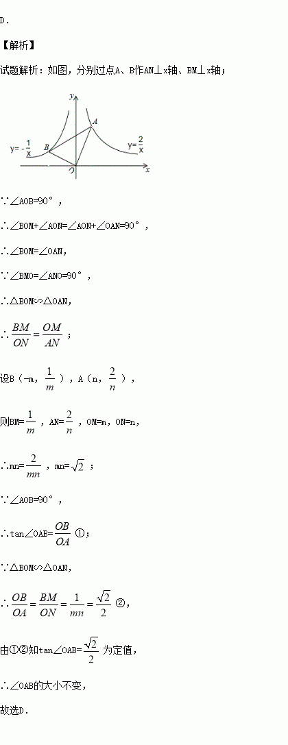
如图,在x轴的上方,直角∠BOA绕原点O按顺时针方向旋转,若∠BOA的两边分别与函数y=﹣、y=的图象交于B、A两点,则∠OAB的大小的变化趋势为( )

A.逐渐变小 B.逐渐变大 C.无法确定 D.保持不变

练习册系列答案
相关习题

科目:初中数学 来源:2016届湖北省宜昌市点军区九年级上学期期中考试数学试卷(解析版) 题型:选择题

下列四个函数图象中,当x>0时,y随x的增大而减小的是( ).

查看答案和解析>>

科目:初中数学 来源:2016届广东省深圳市九年级月考一数学试卷(解析版) 题型:解答题

已知:如图,AB和DE是直立在地面上的两根立柱.AB=5m,某一时刻AB在阳光下的投影BC=3m.

(1)请你在图中画出此时DE在阳光下的投影;

(2)在测量AB的投影时,同时测出DE在阳光下的投影长为6m,请你计算DE的长.

查看答案和解析>>

科目:初中数学 来源:2016届广东省深圳市九年级月考一数学试卷(解析版) 题型:选择题

已知方程是关于x的一元二次方程,则m的取值范围是( )

A.m≠1 B.m≥0

C.m≥0 且m≠1 D.m为任意数

查看答案和解析>>

科目:初中数学 来源:2016届广东省深圳市九年级上学期期中考试数学试卷(解析版) 题型:解答题

解方程:4x-8x+1=0

查看答案和解析>>

科目:初中数学 来源:2016届广东省深圳市九年级上学期期中考试数学试卷(解析版) 题型:选择题

在同一直角坐标系中,函数y=与y=kx+3的图像大致是( )

查看答案和解析>>

科目:初中数学 来源:2016届广东省东莞市堂星晨学校九年级上学期期考试数学试卷(解析版) 题型:解答题

(1)如图1,在△ABC中,点D、E、Q分别在AB、AC、BC上,且DE∥BC,AQ交DE于点P,求证:

(2)如图,△ABC中,∠BAC=90°,正方形DEFG的四个顶点在△ABC的边上,连接AG,AF分别交DE于M,N两点.

①如图2,若AB=AC=1,直接写出MN的长;

②如图3,求证:MN2=DM·EN.

查看答案和解析>>

科目:初中数学 来源:2016届广东省东莞市堂星晨学校九年级上学期期考试数学试卷(解析版) 题型:选择题

如图,△ABC是等边三角形,点D、E分别在BC、AC上,且BD=BC,CE=AC,BE、AD相交于点F,连接DE,则下列结论:①∠AFE=60°;②DE⊥AC;③CE2=DF•DA;④AF•BE=AE•AC,正确的结论有( )

A.4个 B.3个 C.2个 D.1个

查看答案和解析>>

科目:初中数学 来源:2016届安徽省九年级上学期期中联考数学试卷(解析版) 题型:解答题

李华晚上在两站相距50m的路灯下来回散步,DF=50m.已知李华身高AB=1.7m,灯柱CD=EF=8.5m.

(1)若李华距灯柱CD的距离为DB=xm,他的影子BQ=ym,求y关于x的函数关系式.

(2)若李华在两路灯之间行走,则他前后两个影子PB+BQ是否会发生变化?请说明理由.

查看答案和解析>>

同步练习册答案