精英家教网 > 初中数学 > 题目详情

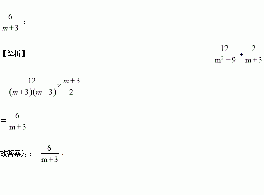
化简÷=___________.

练习册系列答案
相关习题

科目:初中数学 来源:[首发]江苏省兴化市顾庄学区四校2016-2017学年七年级下学期第三次月考数学试卷 题型:单选题

下列语句中,属于命题的是( )

A. 两点之间,线段最短吗? B. 在同一平面内,不相交的两条直线叫做平行线

C. 连接、Q两点 D. 花儿会不会在春天开放

查看答案和解析>>

科目:初中数学 来源:2017年北京怀柔初三数学二模试卷及答案 题型:填空题

下面是一道确定点P位置的尺规作图题的作图过程.

如图,直线L1与L2相交于点O,A,B是L2上两点,点P是直线L1上的点,且∠APB=30°,请在图中作出符合条件的点P.

作法:如图,

(1)以AB为边在L2上方作等边△ABC;

(2)以C 为圆心,AB长为半径作⊙C交直线L1于P1,P2两点.

则P1、P2就是所作出的符合条件的点P.

请回答:该作图的依据是______________________________________________________.

查看答案和解析>>

科目:初中数学 来源:浙江省嘉兴市2016-2017学年度浙教版七年级下数学期末模拟试卷(含答案) 题型:解答题

如图,已知:EF⊥AC,垂足为点F,DM⊥AC,垂足为点M,DM的延长线交AB于点B,且∠1=∠C,点N在AD上,且∠2=∠3,试说明AB∥MN.

查看答案和解析>>

科目:初中数学 来源:浙江省嘉兴市2016-2017学年度浙教版七年级下数学期末模拟试卷(含答案) 题型:填空题

已知|a﹣b+2|+(a﹣2b)2=0,求(﹣2a)2b的值是__.

查看答案和解析>>

科目:初中数学 来源:浙江省嘉兴市2016-2017学年度浙教版七年级下数学期末模拟试卷(含答案) 题型:单选题

要使分式有意义,x的取值应该满足(  )

A. x≠﹣1 B. x≠2 C. x≠﹣1或 x≠2 D. x≠﹣1且 x≠2

查看答案和解析>>

科目:初中数学 来源:安徽省合肥市中铁国际城校区2016-2017学年八年级下学期第二次月考数学试卷 题型:解答题

如图,正方形ABCD中,AB=6,点E在边CD上,DE=2,将△ADE沿AE对折至△AFE,延长EF交边BC于点G,连结AG、CF.

(1)求证:BG=GF;

(2)求CG的长;

(3)求证:AG∥CF。

查看答案和解析>>

科目:初中数学 来源:安徽省合肥市中铁国际城校区2016-2017学年八年级下学期第二次月考数学试卷 题型:单选题

是同类二次根式的是( )

A. B. C. D.

查看答案和解析>>

科目:初中数学 来源:浙江省台州市2017届九年级下学期第二次模拟考试数学试卷 题型:填空题

分解因式:2x2-8x+8=

查看答案和解析>>

同步练习册答案