精英家教网 > 初中数学 > 题目详情

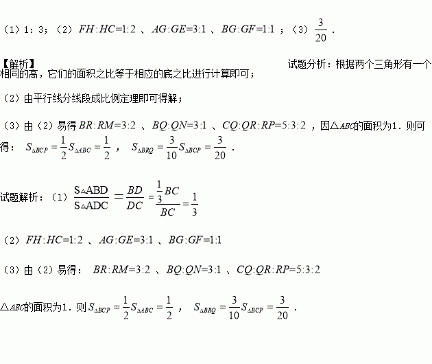
(1)如图1,△ABC中,D是BC边上一点,则△BD与△ADC有一个相同的高,它们的面积之比等于相应的底之比,记为= (△ABD、△ADC的面积分别用S△ABD、S△ADC表示)。现有BD=BC,则S△ABD:S△ADC=

(2)如图2,△ABC中,E、F分别是BC、AC边上一点,且有BE:EC=1:2,AF: FC=1:1,AE与BF相交于点G、现作EH ∥BF交AC于点H、依次求FH :HC、AG: GE、BG:GF的值

(3)如图3,△ABC中,点P在边AB上,点M、N在边AC上,且有AP=PB,AM=MN=NC,BM、BW与CP分别相交于点R、Q.,现已知△ABC的面积为1,求△BRQ的面积。

练习册系列答案
相关习题

科目:初中数学 来源:【全国校级联考】四川省渠县九校2017届九年级下学期第二次联合模拟数学试卷 题型:填空题

一个正数N的各位数字不全相等,且都不为为0,现要将N的各位数字重新排列,必可得到一个最大数和一个最小数,此最大数与最小数的差记为N的“差数”,此最大数与最小数的和记为N的“和数”,例如,245的“差数”为542-245=297,“和数”为:542+245=787,

一个四位数M,其中千位数字和百位数字为a,十位数字为1,个位数字为b(且a≥1,b≥1)若它的“和数”是666,M的“差数”的值为_______________.

查看答案和解析>>

科目:初中数学 来源:江苏省2017届九年级下学期质量调研考试数学试卷 题型:解答题

如图,在平面直角坐标系中,抛物线轴交于两点,与轴交于点

(1)请直接写出A、B、C三点的坐标:

A B C

(2)点P从点A出发,在线段AB上以每秒3个单位长度的速度向点B运动,同时点Q 从点B出发,在线段BC上以每秒1个单位长度的速度向点C运动.其中一个点到达终点时,另一个点也停止运动.设运动的时间为t(秒),

① 当t为何值时,BP=BQ?

② 是否存在某一时刻t,使△BPQ是直角三角形?若存在,请求出所有符合条件的t的值,若不存在,请说明理由.

查看答案和解析>>

科目:初中数学 来源:江苏省2017届九年级下学期质量调研考试数学试卷 题型:填空题

分解因式: =_____________.

查看答案和解析>>

科目:初中数学 来源:江苏省2017届九年级下学期质量调研考试数学试卷 题型:单选题

我市某一周的日最高气温统计如下表:

则这组数据的众数是

A. 25 B. 26 C. 27 D. 28

查看答案和解析>>

科目:初中数学 来源:【全国区级联考】江苏省盐城市大丰区2017届九年级第二次质量检测(二模)数学试卷 题型:解答题

游泳是一项深受青少年喜爱的体育活动,学校为了加强学生的安全意识,组织学生观看了纪实片“孩子,请不要私自下水”,并于观看后在本校的2000名学生中作了抽样调查、请根据下面两个不完整的统计图回答以下问题

(1)这次抽样调查中,共调查了 名学生

(2)“家长陪同时会”的学生所占比例为 %,"一定不会"的学生有

(3)根据抽样调查的结果,估算该校2000名学生中大约有多少人“一定会下河游泳”?

查看答案和解析>>

科目:初中数学 来源:【全国区级联考】江苏省盐城市大丰区2017届九年级第二次质量检测(二模)数学试卷 题型:填空题

教室里有几名学生,这个时候一位身高170厘米的老师走进了教室,使得教室里所有人的平均身高从140厘米变成了145厘米,使得所有人的平均体重从35千克变成了39千克,则老师的体重是_________千克.

查看答案和解析>>

科目:初中数学 来源:广西南宁市2017届九年级下学期第三次模拟考试数学试卷 题型:解答题

如图,PA,PB分别与⊙O相切于点A,B,点M在PB上,且OM∥AP,MN⊥AP,垂足为N.

(1)求证:OM = AN;

(2)若⊙O的半径R = 3,PA = 9,求OM的长.

查看答案和解析>>

科目:初中数学 来源:宁夏银川市阅海分校2017届九年级下学期第一次模拟考试数学试卷 题型:单选题

函数)在同一直角坐标系中的大致图象可能是( )

A. B. C. D.

查看答案和解析>>

同步练习册答案