精英家教网 > 初中物理 > 题目详情
如图所示,甲、乙两个均匀的实心正方体放在水平地面上,它们各自对地面的压强相等.若分别在甲、乙上沿水平方向截去高度相等的部分后,则剩余部分的( )

A.甲的体积可能等于乙的体积
B.甲的质量可能小于乙的质量
C.甲对地面压强一定等于乙对地面的压强
D.甲对地面压力一定大于乙对地面的压力
【答案】分析:两物体对地面的压强相等,由边长关系可求出密度关系,则由压强公式可求得压强及压力的关系.
解答:解:A、设甲边长为a,乙边长为b,则由图可知a>b,两物体对地面的压强相等,即=,化简得:ρa=ρb.
则ρ<ρ.截去相等高度后,甲的体积仍大于乙的体积,A错.
B、两物体剩余质量ma2(a-h),mb2(b-h),=
即甲的质量大于乙的质量.B错.
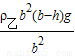
C、两物体对地面的压强由P=得:P=(a-h)g,P=
===,即甲的压强大于乙的压强,C错.
D、压力F=mg,即Fa2(a-h)g,Fb2(b-h)g,=>1,故甲对地面的压力大于乙对地面的压力.故D对.
故选D
点评:本题比较大小,用到了作比的方法,做题时要注意体会.
练习册系列答案
相关习题

科目:初中物理 来源: 题型:

5、如图所示,甲、乙两个房间里的相同的两壶水放在相同的电炉上都已烧开,我们可以根据所观察的
房间壶嘴的上方
“白气”
较多,判断出
房间的气温较高.

查看答案和解析>>

科目:初中物理 来源: 题型:

(2013?亳州模拟)如图所示,甲、乙两个均匀实心正方体分别放置在水平地面上,且它们各自对地面的压强相等.若分别在两个正方体的上部,沿水平方向截去相同高度后,则甲、乙的剩余部分对地面的压强P以及剩余部分质量m的大小关系为(  )

查看答案和解析>>

科目:初中物理 来源: 题型:

(2013?广安)用四只完全相同的滑轮和两根相同的绳子组成如图所示的甲、乙两个滑轮组,分别将两个相同的钩码提升10cm,若不计绳子与滑轮的摩擦,
装置更省力(选填“甲”或“乙”).甲装置的机械效率
等于
等于
乙装置的机械效率(选填“高于”、“低于”或“等于”).

查看答案和解析>>

科目:初中物理 来源: 题型:

如图所示,甲、乙两个电磁铁靠近放置,a、b和f、d分别接电源,那么(  )

查看答案和解析>>

科目:初中物理 来源: 题型:

用四只完全相同的滑轮和两根相同的绳子组成如图所示的甲、乙两个滑轮组,不计绳子与滑轮的摩擦,则(  )

查看答案和解析>>

同步练习册答案